Vatten vid kylning av n-pentan
Uppgift:
Bensin består av en mix av olika sorters kolväten, t ex pentan och oktan, och produceras
traditionellt genom raffinering av råolja. Genom den så kallade Fischer-Tropsch (FT)-
syntesen där kolmonoxid och vätgas får reagera med varandra kan man även göra syntetisk
bensin. Även i denna process som sker vid hög temperatur och med katalysator närvarande
får man en mix av olika kolväten.
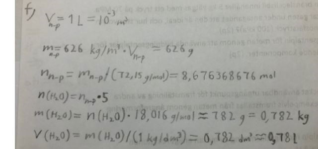
f) Beräkna hur mycket vatten (L) per liter n-pentan som produktströmmen innehåller
då den kylts ner till 25 °C? Densiteten för n-pentan kan antas vara 626 kg/m3.
Mitt svar. Ser detta OK ut?:

Har du skrivit någon reaktionsformel? Du ska använda den för att ta fram ekvivalensförhållandet mellan n-pentan och vatten. Oklart ifall du har gjort detta, för det syns inte i din redovisning.