Växelströmsuppgifter
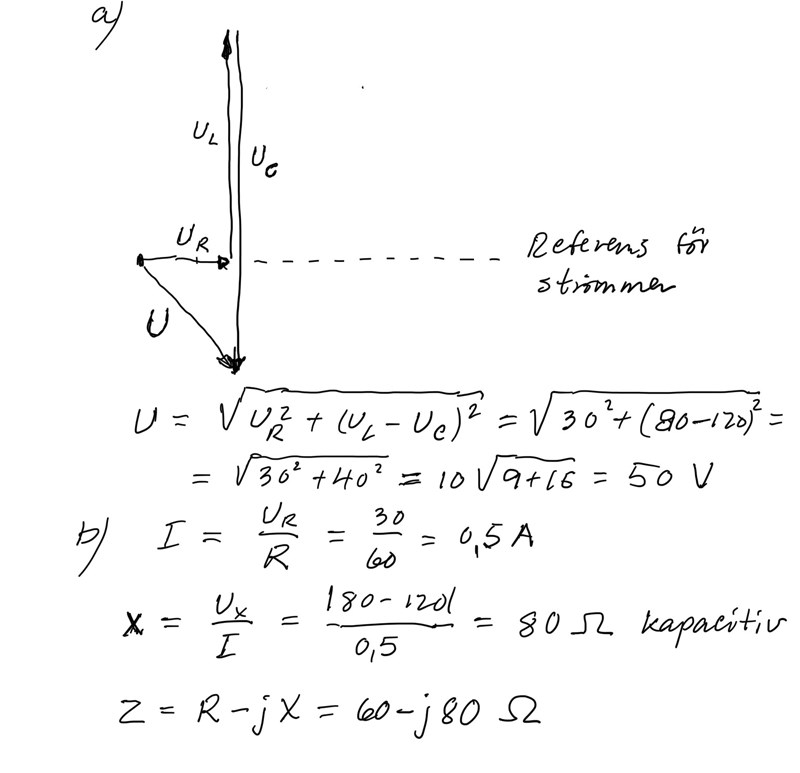
a) En krets består av motståndet R=60 Ohm, spolen L (okänd), kondensatorn C (okänd) ochen växelströmsgenerator med effektivvärdet U (okänt) med frekvensen f=50 Hz, se figur.Samtliga värden i figuren är effektivvärden och angivna med två värdesiffror. Räkna ut U.

b) Beräkna strömmen, reaktansen och impedansen i kretsen ovan.
c) Nedan finns en ny krets. Beräkna resonansfrekvensen f.

d) Om U = 90 V, vad blir strömmen I i den nya kretsen. Använd frekvensen du räknade ut i c)
e) Beräkna även UR, UL och UC för den nya kretsen. Använd frekvensen du räknade ut i c)
Detta är vad jag har svarat:
https://docs.google.com/document/d/1BJDnhNbsBGgUjGQDufuikOBH9G1rAtIgu0hWaiaLQdk/edit?usp=sharing
Jag har fått detta som feedback:
https://docs.google.com/document/d/1c0OjVgI6zMR7s9JkQTiI8RzF4WDXedoqbA666lm9ZuA/edit?usp=sharing
Som ni kan se är nästan allt rött vilket inte är ett bra tecken och då jag inte har fått någon riktigt bra feedback på det frågar jag om någon kan hjälpa mig lite på traven :)
Jag kan inte se vad du har gjort, men a) är bara att addera spänningarna i ett fasordiagram.
Visa spoiler
Det blir nog 50 volt (huvudräkning).
Den andra länken om feedback går tyvärr inte att läsa.
Om vi tittar på a) och b) så föreslår jag följande:
