13 svar
388 visningar
mattenörden123 behöver inte mer hjälp
mattenörden123 77 – Fd. Medlem
Postad: 28 okt 2020 17:46

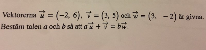
Vektor A-uppgift

Har försökt att rita upp ett koordinatsystem med vektorerna men kommer inte fram till något. Enligt facit kan man lösa uppgiften geometriskt eller algebraiskt.

Tack på förhand

Yngve 42667
Postad: 28 okt 2020 17:51 Redigerad: 28 okt 2020 17:53

Algebraiskt:

Om v¯=(x,y)\bar{v}=(x,y) så är a·v¯=(a·x,a·y)a\cdot\bar{v}=(a\cdot x,a\cdot y).

Du behöver även veta hur man adderar vektorer komponentvis och att identiska vektorer har identiska komponenter.

Kommer du vidare då?

mattenörden123 77 – Fd. Medlem
Postad: 28 okt 2020 17:57 Redigerad: 28 okt 2020 18:00
Yngve skrev:

Algebraiskt:

Om v¯=(x,y)\bar{v}=(x,y) så är a·v¯=(a·x,a·y)a\cdot\bar{v}=(a\cdot x,a\cdot y).

Du behöver även veta hur man adderar vektorer komponentvis och att identiska vektorer har identiska komponenter.

Kommer du vidare då?

Är inte säker om jag skulle kunna börja så här (efter din ledtråd):

a(-2, 6) + (3, 5)=(3, -2) 

Yngve 42667
Postad: 28 okt 2020 19:53

Nästan. Du glömde att multiplicera med b i högerledet.

mattenörden123 77 – Fd. Medlem
Postad: 28 okt 2020 20:01
Yngve skrev:

Nästan. Du glömde att multiplicera med b i högerledet.

Aha okej var osäker om det men tack :)

Grejen är att jag inte vet vad jag ska göra här:

(-2a,6a) + (3,5) = (3b,-2b)

Ska jag addera x koordinat för x-koordinat/y för y eller ska jag flytta något?

Yngve 42667
Postad: 28 okt 2020 20:37

Ja du ska addera x-koordinaterna för sig och y-koordinaterna för sig.

Räkneregler för vektorer hittar du här.

Scrolla ner till avsnittet om vektorer i koordinatform.

mattenörden123 77 – Fd. Medlem
Postad: 28 okt 2020 21:55 Redigerad: 28 okt 2020 21:56
Yngve skrev:

Ja du ska addera x-koordinaterna för sig och y-koordinaterna för sig.

Räkneregler för vektorer hittar du här.

Scrolla ner till avsnittet om vektorer i koordinatform.

(-2a+3,6a+5) = (3b,-2b)

Efter det här? Vet ej om man kan ta x/y-delen av ekvationen t.ex -2a+3=3b

Yngve 42667
Postad: 28 okt 2020 22:16 Redigerad: 28 okt 2020 22:17
mattenörden123 skrev:

(-2a+3,6a+5) = (3b,-2b)

Efter det här? Vet ej om man kan ta x/y-delen av ekvationen t.ex -2a+3=3b

Bra!

Jo det är precus så du ska göra.

mattenörden123 77 – Fd. Medlem
Postad: 28 okt 2020 22:26 Redigerad: 28 okt 2020 22:27
Yngve skrev:
mattenörden123 skrev:

(-2a+3,6a+5) = (3b,-2b)

Efter det här? Vet ej om man kan ta x/y-delen av ekvationen t.ex -2a+3=3b

Bra!

Jo det är precus så du ska göra.

Okej så detta får jag för a:

a=-2/3b+2/3

Känner mig lite vilse eftersom oavsett vad kommer jag väl alltid ha två variablerna kvar? Hur skulle du göra?

Yngve 42667
Postad: 29 okt 2020 06:50 Redigerad: 29 okt 2020 06:52

Villkoret för x-koordinaterna är

-2a + 3 = 3b

Villkoret för y-koordinaterns är

6a + 5 = -2b

Dessa två villkor måste gälla samtidigt, dvs samma värden på a och b ska uppfylla båda dessa villkor.

Det ger dig ett ekvationssystem med två ekvationer och två obekanta. Ekvationssystemets lösning ger dig a och b.

Har du stött på sådana tidigare?

(Det råkade bli fel när du löste ut a ur villkoret för x-koordinaten.)

mattenörden123 77 – Fd. Medlem
Postad: 30 okt 2020 16:46 Redigerad: 30 okt 2020 16:47
Yngve skrev:

Villkoret för x-koordinaterna är

-2a + 3 = 3b

Villkoret för y-koordinaterns är

6a + 5 = -2b

Dessa två villkor måste gälla samtidigt, dvs samma värden på a och b ska uppfylla båda dessa villkor.

Det ger dig ett ekvationssystem med två ekvationer och två obekanta. Ekvationssystemets lösning ger dig a och b.

Har du stött på sådana tidigare?

(Det råkade bli fel när du löste ut a ur villkoret för x-koordinaten.)

Hej igen,

Fick fram både a och b igår m.h.a ekvationssystem:

-2a+3=3ba=3b-3-2Detta lägger jag in i den andra ekvationen:63b-3-2+5=-2b18b-18-2+5=-2b18b-28=4b14b=28b=2

Sedan är det samma sak för a och får då att a= -32

Tack så jättemycket :)

Yngve 42667
Postad: 30 okt 2020 17:03

Bra. Har du kontrollerat resultatet?

mattenörden123 77 – Fd. Medlem
Postad: 30 okt 2020 17:12
Yngve skrev:

Bra. Har du kontrollerat resultatet?

-1,5(-2,6)+(3,5)=2(3,-2)(3+3,-9+5)=(6,-4)(6,-4)=(6,-4)

Yngve 42667
Postad: 30 okt 2020 17:15

👍🏆

Svara
Close