Vektor analys

Jag vet inte hur jag ska parametrisera och hitta normal vektorn
Hej,
Med en kvadratkomplettering ser du att skärningen mellan ytan och planet är en cirkel med centrum i punkten (-1,0) och radien 2.
En möjlig parameterisering är
där
Tack Albiki. Men jag har parametriserat enligt nedan. (stämmer det ens)? Om ja, hur ska jag paramertisera i näst sista raden??

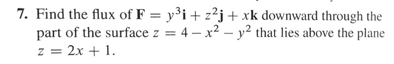
Jag har alltså att
Ser bökigt ut. Vad blir divF?
Varför är divF relevant här?
Edit: Vår professor gick igenom 2 olika metoder att parametrisera med. Jag gjorde enligt metod 1.
divF = 0. Kan det vara till någon nytta?
Eftersom divF är noll så kan vi istället räkna ut flödet upp genom den plana ytan z = 2x + 1, vilket troligen blir enklare eftersom dS blir konstant.
r(x, y) = (x, y, 2x +1)
dS = (-2, 0, 1)dxdy.
Så vi får integralen
D = {(x, y): }
Skall nog vara minustecken framför integralen, när jag tänker efter.
Jag är med på hur du tänker! Men om jag skulle fortsätta enligt min lösning. Hur skulle man göra då?
Förstår inte riktigt vad du gör. Borde du inte få r(x, y) = (x, y, 4 - x2 - y2) om du parametriserar den krökta ytan med x och y som parametrar? Med bivillkoret att (x + 1)2 + y2 4.
På föreläsningarna används u och v som parametrar.. jag försökte göra som han gör. :(
Man kan naturligtvis kalla x för u och y för v om man känner för det. Men din z-koordinat förstår jag inte hur du fick fram.
Jag får ju att och sen byter ut jag ut x och y mot u respektive v. Är det det du undrar?
Men ytans ekvation är ju z = 4 - x2 - y2. Sedan har du bivillkoret att 4 - x2 - y2 > 2x + 1 som ger att (x+1)2 + y2 < 4.
Så hur ska man parametrisera Z då?
z = 4 - x2 - y2.
Jag vet att jag kan parametrisera med polära koordinater. Men jag jag vill använda mig av u och v sen.
Det är lättare att köra med x och y först för att ställa upp integralen, och sedan införa nya koordinater anpassade till integrationsområdet, efter behag, när man skall väl skall integrera.
Jag försökte utgå från detta:

Det första alternativet liknar mitt förslag, (u, v) motsvarar (x, y). Det andra alternativet är cylinderkoordinater u motsvarar r och v motsvarar .
Du skulle kunna testa en variant på polära enligt
x = -1 + ucosv
y = usinv
Integrationsområdet blir enkelt 0 u 2, 0 v 2.
z = 2(1+ucosv)
PATENTERAMERA skrev:Du skulle kunna testa en variant på polära enligt
x = -1 + ucosv
y = usinv
Integrationsområdet blir enkelt 0 u 2, 0 v 2.
z = 2(1+ucosv)
Hur parametriserar du här?
Nu vet jag inte vad jag ska göra... om jag nu gjorde rätt.

Nja. Enligt uppgiften så skall vi betrakta den del av ytan z1 = 4 - x2 - y2 som ligger ovanför ytan z2 = 2x + 1. Dvs vi har villkoret att z1 > z2, vilket vi kan formulera om i termer av x och y som (x + 1)2 + y2 < 4, vilket är en cirkelskiva med radien 2 och centrum i (x, y) = (-1, 0).
Om vi för enkelhets skull väljer x och y som parametrar så har vi att
r(x, y) = (x, y, 4 - x2 - y2)
= (2x, 2y, 1)
dS = dS = (-2x, -2y, -1)dxdy
Så vi får integralen
(y3, (4 - x2 -y2)2, x)•(-2x, -2y, -1)dxdy,
där integrationsområdet D är cirkelskivan som nämns ovan, dvs D = {(x, y): (x + 1)2 + y2 < 4}. Eftersom området D är spegelsymmetriskt i x axeln så kan vi ”enkelt” se att det enda bidraget som inte genast blir noll ges av
-xdxdy.
För att slippa integrera kan vi notera att x-koordinaten XG för området D:s tyngdpunkt ges av
XG = xdxdy / dxdy, dvs
xdxdy = XG arean av D. Men vi vet att en cirkelskivas tyngdpunkt ligger i dess centrum, dvs vi vet att XG = -1.
Således
= -XG arean av D = -(-1)4 = 4.