Vektor som minimerar avståndet till en annan vektor

Behöver hjälp med denna uppgift! Jag försökte lösa detta med minsta kvadratmetoden, då det stod att man kan använda MKM för dessa typer av problem, men det verkade bli helt fel... Så hur gör man istället? Svaret ska bli .
Detta gjorde jag:

Verkar bli lite knas när du beräknar ska bli
Aha, okej! Men det blir ju fortfarande inte rätt efter gaussning, då jag får ut efter Gauss-Jordan. Svaret står dock i .
Svaret du får ut är ju de tal som ger den linjärkombination som minimerar
Du har fortfarande något slarvfel i gausselimineringen, svaret ska bli
Sedan får du alltså bilda den vektor som efterfrågas, dvs , där är kolonnerna som spänner
Jag tror du behöver fundera lite över hur lösningsmetoden fungerar och vad det egentligen är du räknar ut.
Hoppsan! Men då förstår jag metoden iaf, så min metod var alltså rätt då!? Men anledningen till att det står något helt annat i facit, har det att göra med att dom har kört en annan metod då? För nu har ju vektorn som tillhör W beräknats!
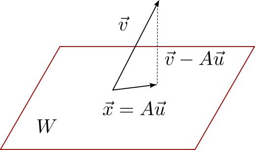
Varje vektor kan skrivas som en linjärkombination av de kolonner som spänner .
Vektorn kan också skrivas på formen , där och matrisen består av kolonnerna .

Nu letar vi efter de som minimerar avståndet . För att hitta koefficienterna kan vi använda minsta kvadratmetoden. Det som minimerar måste uppfylla:
Det visar sig att systemet har den entydiga lösningen . Slutligen anger vi den vektor som minimerar avståndet:
Jahaaaaa! Då fattar jag. Så man kan alltså säga att det som beräknades är koordinater till den linjärkombination av vektorer som befinner sig i W! Koordinaterna tillsammans med vektorerna ger alltså !
Tack så mycket för hjälpen!! 😃