1
svar
93
visningar
theg0d321 behöver inte mer hjälp
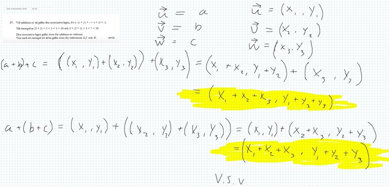
Vektoraddition


Har jag gjort rätt? Duger min lösning?
Jag tycker ditt bevis ser bra ut.