1
svar
92
visningar
Vektoralgebra, linje på parameterform


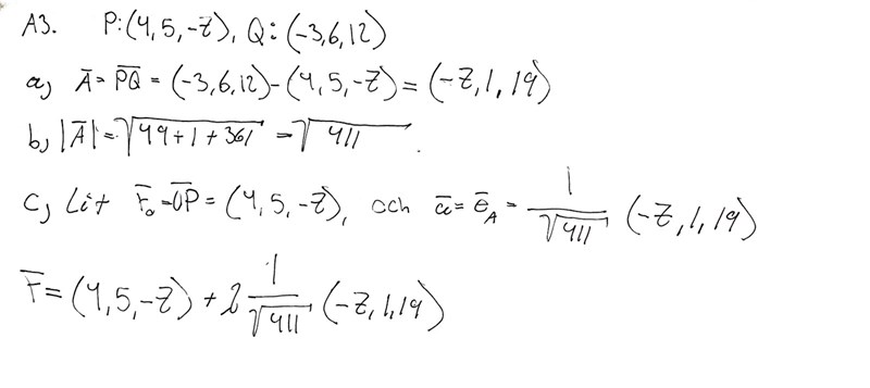
Jag är inte så osäker på a och b men undrar främst om jag har gjort rätt angående c).
Jag valde asså P som ortsvektor och skapade en normerad vektor av PQ
c är inte fel, men du behöver inte en normerad vektor eftersom kan anta vilket värde som helst. Du kan ta bort .