Vektoranalys: BAC-CAB regeln med nablaoperatorn
Hej,
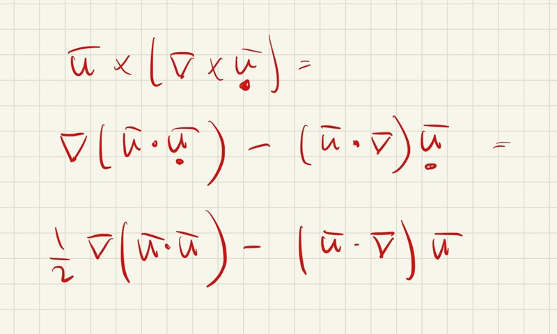
När jag använder BAC-CAB regeln på så får jag , och en hamnar längst ut på kanten.
Jag tänkte lite pragmatiskt att jag kan flytta fram u:et så att har något att verka på eftersom det hade kommuterat om detta handlade om vanliga vektorer, men vad gäller egentligen? Är BAC-CAB regeln fel och är egentligen ACB-ABC?
bac-cab stämmer väl?
Du kan ju alltiv skriva ut allt i kartesiska koordinater om du vill.
Tillägg: 6 jan 2023 13:01
Ok, jag läste frågan för snabbt.
bac - cab
får här skrivas
bac - cba
Men varken BAC-CAB eller BAC-CBA är inte ens rätt här, både enligt Stackexchange och för att jag får fel när jag använder det så i min härledning i denna uppgift:
Jag får hålla mig till einsteinnotation som de sa på mathstack helt enkelt.
Vad man skall tänka på här är att nablaoperatorn bara opererar på ena u:et. Man kan markera detta u med en punkt.

Ah, tack!
