1
svar
152
visningar
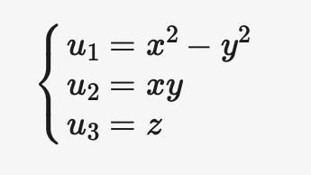
Vektoranalys, basvektorer. Bestäm de normerade basvektorerna till det kroklinjiga koordinatsystemet
Bestäm de normerade basvektorerna till det kroklinjiga koordinatsystemet

Mitt försök:

Jag har använt formeln:
Det man ska göra är att ta gradienterna av alla u med och dividera med beloppet på de. Men vilken formel är det? Varför går inte formeln jag har använt att använda?
Tack på förhand!
behöver inte vara .
Jämför t.ex. med sfäriska koordinater, där är , dvs
Normalbasen ges av gradienten, det bör stå i din lärobok.
Om du vill derivera måste du först lösa ut explicit och sedan sätta in det i en vektor och derivera på det sätt du försökt göra ovan.