1
svar
174
visningar
paprika_22 behöver inte mer hjälp
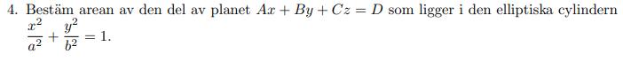
Vektoranalys - Bestäm area mellan plan och cylinder

Jag förstår inte hur jag ska gå tillväga för att lösa den här uppgiften. Jag antar att jag ska parametrisera ytan eller cylindern på något vis. Ett försök till att beräkna ds för planet Ax + By + Cz = D:
(x, y) = (x, y, z(x, y)) = (x, y, (D-Ax-By)/C).
.