Vektoranalys - kurvintegral (utan Greens formel)
Hej!
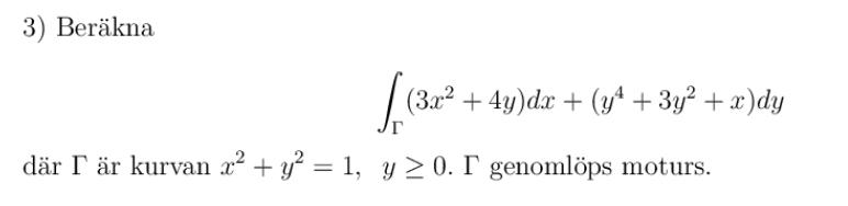
Har problem med följande uppgift:

Mitt försök var genom att parametrisera kurvan och sätta x=cos(theta), y=sin(theta) med theta mellan 0 och pi, vilket stämmer enligt facit. Sen bytte jag ut alla x och y enligt parametriseringen och bytte gränserna för integralen, integrerade på - och fick helt fel svar.
Det jag hade missat var minuset framför första parentes-termen, samt att parentes-termerna multipliceras, som markerat i lösningen nedan.

Har suttit och klurat länge nu, och försökt googla mig fram till varifrån det rödmarkerade kommer ifrån. Skulle ni kunna hjälpa mig att förstå? Känner mig helt borta.
De har deriverat din parametrisering och sen tagit skalärprodukt med det du fått fram. Det är väl så man alltid räknar ut en integral genom vektorfält?
