Vektoranalys: skalärprodukt med einsteins konvention, kolla mitt påstående
Rätt?
Du är definitivt på rätt väg, men låt oss återkomma till din beteckning
Först konstruerar vi skalärprodukten av två vektorer, baserat på det vi känner till sedan tidigare:
Av bekvämlighet (och lite andra skäl) låter vi den sista parentesen vara . Med denna beteckning blir vår skalärprodukt:
Det går att visa att i sig är en kovariant tensor och som vi ser ovan måste den innehålla all information som behövs för att beräkna skalärprodukten (vilket i sig är tillräckligt för att beräkna längder, areor och volymer).
Vi kallar den kovarianta metriska tensorn (eller mer egentligt tensorfältet). För 3 dimensioner är det alltså en matris med 3x3 komponenter.
Med parbildningen (kopplingen mellan dualrummet och tangentrummet) får vår skalärprodukt ovan exakt rätt längd i kartesiska koordinater. Eftersom vi konstruerat ett koordinatoberoende uttryck måste uttrycket ge rätt skalärprodukt i alla koordinatsystem.
Alltså:
Vi noterar att har stora likheter med vad man skulle förvänta sig av en funktion . T.ex. sänker den ett av indexen (från kontravariant till kovariant). Faktum är att man i generaliserad form ofta använder beteckningen , notera vad du själv kom fram till ovan!
Och nu några brasklappar.
För det första har vi förutsatt existensen av en metrik, utan det, ingen skalärprodukt! Det i sig är en enorm inskränkning, men det ger oss också en mycket rik struktur att arbeta med. Vidare har vi förutsatt några (för all del naturliga) egenskaper hos metriken.
Men det är bra att känna till att teorin för tensorer och differentialformer är mer generell. Det räcker att vi har någon form av topologi som är differentierbar (i någon mening), en av de vanligaste konstruktionerna vilar på en affin koppling
För det andra är definitionen av den metriska tensorn egentligen mer intrikat, t.ex skulle man kunna använda
Där längden av en vektor ställer vissa villkor på F som vi anser att en längd måste uppfylla.
Öh...
Ja förlåt för att jag inte sa det, jag vet att det är fel skrivsätt. Det måste vara olika index på v och w. Det var läraren som skrev så när han ville varna om fel skrivsätt, men jag håller inte med. Han säger att det är fel för att man kan lägga summatecknet över i var man vill. Såhär:

Men man tolkar ju fel om man tolkar enligt andra eller tredje summeringen.
Du överskattar min nivå, just nu följer jag en kurs upplägg och går långsamt framåt med indexräkning i vanliga kartesiska rummet. Jag förstår inte det du skrivit!
Ja, den tredje summeringen är helt fel och gör mig uppriktigt sagt lite osäker på om personen som skapat videon själv förstår tensornotationen. är inte fristående summa och det han skriver är inte en kontraktion.
Men varför anser du att den andra tolkningen är fel?
Jag vet inte... det är ju fyra index, de är ju "tillsammans".
Det där har jag skrivit!
haha, jaha :)
En kontraktion är att:
1. Välja exakt 2 index
2. Ersätta dem med gemensamt index
3. Tillämpa Einsteins summeringskonvention.
Exempel:
innehåller två index. vi sätter dem lika och summerar
Dvs kontraherat över är 3.
Om ett index redan förekommer två gånger är den gängse tolkningen att vi ska summera över dem.
Men notera att indexen måste förekomma i par enligt reglerna för kontraktion.
Om du har fler än två index lika kan du bilda fler än ett tänkbart par. Det skulle göra uttrycket tvetydigt. Därför är notationsregeln att fler än två index inte får ha samma namn.
Edit: Notera att man när man skiljer på ko- och kontravarianta tensorer justerar regel 1; man väljer ut exakt två index, ett kovariant och ett kontravariant.
Vänta nu... lite långsammare. Kan vi skilja på index och indexbokstäver? Till exempel har två index men en indexbokstav.
Så det går alltså att utföra kontraktioner, men bara om...?
är ju lika med 3 även utan kontraktion?
Edit: index av varje sort får bara förekomma två gånger i ett uttryck? Det går inte att kontrahera över fyra olika index (oavsett om det är två, tre eller fyra olika bokstäver).
I mitt fall har jag olagligt kontraherat i,i,j,j (korrekt skrivsätt för skalärprodukt) till i,i,i,i?
Ja, har två index. Ett där uppe och ett där nere.
Vi säger att är en (1,1)-tensor.
Tensorn är ett exempel på en (0,2)-tensor, den har två index där nere.
Det går att utföra en kontraktion mellan två index så länge tensorn har mer än 1 index.
När man skiljer på ko- och kontravarians måste tensorn ha minst 1 kovariant och 1 kontravariant index och kontraktionen ske mellan ko- och kontravariant index.
När man kontraherar en (r,s)-tensor får man en (r-1,s-1)-tensor kvar.
Om vi kontraherar en (1,1)-tensor, t.ex. får vi en (0,0)-tensor kvar (dvs en skalär).
Därför är en skalär.
Qetsiyah skrev:
är ju lika med 3 även utan kontraktion?
Nej, är en tensor av ordning (1,1). Denna typ av tensorer är lätta att se som matriser, för n=3 får vi
Däremot är enligt vår notation.
Stor skillnad.
Kan du förklara igen men utan att nämna tensorer och ko- kontavarians? Anta ortogonalt kartesiskt koordinatsystem. Läraren sa att index uppe eller nere inte spelar roll än.
En kontraktion använder exakt två index och sänker gradtalet med två.
Varje bokstav (index) får förekomma max två gånger. Annars blir det en tvetydig summa.
är 1 om , annars .
om basen är ortogonal.
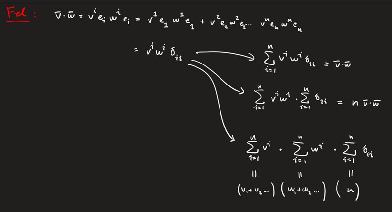
Alltså kan skalärprodukten skrivas
Den här summan innehåller tydligen två index, och båda indexen förekommer två gånger. Alltså kommer vi få 9 termer om när vi kontraherar.
Först summerar vi över
Nu kommer varje term ge 3 nya termer när vi summerar över .
Bara termer då överlever på grund av -funktionens definition, alltså blir summan
Med Einsteins summeringskonvention kan vi skriva detta som
Där det är underförstått att vi ska summera över
Notera att uttryck som bryter mot notationsreglerna och egentligen är rent nonsens.
Det förstår jag fullt ut, men det här med kontraktion då?
En kontraktion innebär att man sätter två index lika och sedan summerar över dem. Det sänker gradtalet, eller ordningen med 2.
Exempel, låt oss studera matrisen
Detta kan vara en tensor av ordning två eftersom den har två index. Av någon får vi i uppdrag att kontrahera över indexen och .
Vi sätter indexen lika med och summerar. Då sänks ordningen två enheter (och blir ordning 2-2=0, dvs är en skalär)