Vektorer
Vektorerna u=(2,6) och v=(–2,4) är givna.
Bestäm talet t så att vektorerna u+tv får längden 10 l.e.
Jag tänker att man beräknar absolutbeloppet av summan av deras längder.
10 =
Jag får detta till 10 = (4t-6)-(-2t-2) = 6t-4
Nu blir t en himla massa decimaler. Var har jag sprungit fel?
Välkommen till Pluggakuten!
Observera att:
Edit: såvida inte a och/eller b är 0
Tack för välkomnandet!
Så här gick jag vidare:
Jag har totalt fastnat :(
Du sätter upp fel.
Längden på ovanstående vektor är:
Och denna längd ska vara =10, så
Lös ut
Men varför har det betydelse för vilken koordinat jag skriver först, det är väl skillnaden mellan dem som är intressant?
Oj, förlåt! Insåg nu vilket fel jag gjort. Det är ju inte absolutbeloppet jag ska beräkna utan bara addera koordinaterna.
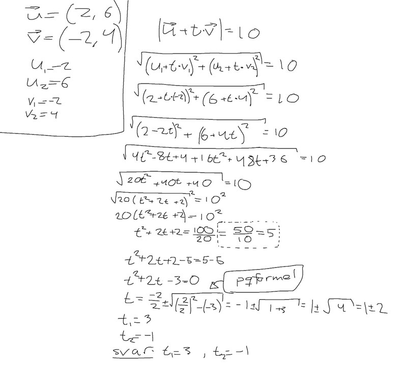
tjo, skrev ut en lösning i paint. Blev lite lång men det är bara att jag skrev ut alla mellanstegen. Rekomenderar att du själv gett dig på uppgiften innan du kollar vad jag fick. Men om ni inte lärt er pq-formeln blir det ju klurigt att lösa som jag gjort det. 
Tack så mycket!
Jag läser matematik 1C och har därför inte lärt mig pq-formeln än. När jag till slut kollade facit stod det att man skulle använda verktyg för att lösa uppgiften. Inte konstigt att jag inte förstod hur man skulle räkna! :)
Study4life skrev:Oj, förlåt! Insåg nu vilket fel jag gjort. Det är ju inte absolutbeloppet jag ska beräkna utan bara addera koordinaterna.
Det stämmer inte. Du ska räkna ut absolutbeloppet.
Det fel du gör är teckenfel. Jämför min uppställning med din för att förstå vad jag syftar på.
Ursprungligen har du satt upp uttrycket tv-u istället för det korrekta tv+u.
Sen utvecklar du dina parenteser fel.
Matteslaktaren gör ett teckenfel på slutet, -1 blir till 1 när tecknet tappas bort. Svaret blir således t1=-3, t2=1
pq är som en saga från gymnasiet: "x är lika med halva koefficienten framför x med ombytt tecken plus minus roten ur halva koefficienten framför x i kvadrat samt tredje termen med ombytt tecken"