Vektorer
Hej!
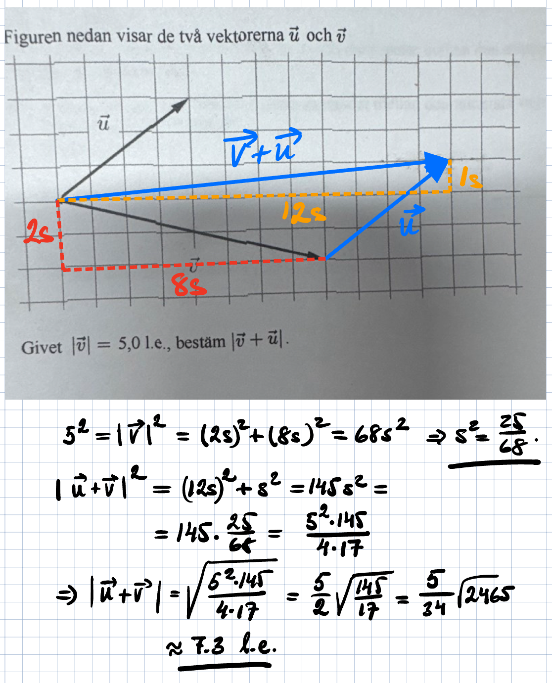
Jag har fått helt stopp i huvudet just nu och har verkligen ingen aning om hur jag ska gå tillväga för att lösa följande uppgift:
finns det några tips för hur man kan tänka när man ska lösa sådana uppgifter?
Har prov om två dagar och känner mig helt körd när man hela tiden glömmer sådana enkla saker.
Ska man räkna ut resultanten av de två vektorerna och sedan räkna ut längden på den vekton?
tacksam för all hjälp!
Det låter som en bra idé.
Jag skulle
- med hjälp av Pythagoras sats beräkna längden av v (i enheten "rutlängd")
- bestämma "skalfaktorn", dvs hur många längdenheter 1 ruta motsvarar
- skriva vektorerna på koordinatform
- med hjälp av Pythagoras sats beräkna resultantvektorns längd i "rutor"
- med hjälp av "skalfaktorn" översätta resultantvektorns "rutlängd" till längdenheter
Jag får fel…
Kändes som att jag gjorde rätt men tydligen inte.
Du gör mycket som är rätt, men problemet är att en ruta inte är en längdenhet.
Vi har fått veta att v har längden 5 längdenheter. Hur många rutor är dess längd?
Du gjorde alltså punkt 1 ovan, men inte resten.
svårt att veta, den går ju inte tydligt genom tex diagonalen på rutorna om du förstår vad jag menar. Hur man kan avgöra det?
Du har redan kommit fram till att v är (8, -2) i rutenheter. Hur lång är den då i rutenheter?
(4,3) i rutenheter? om det är vektorn u du menar.
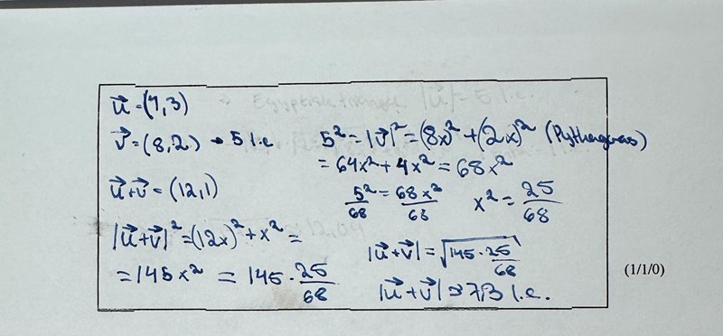
Visa spoiler

Jag kollade bara på bilden i din spoiler och förstod direkt var jag gjorde fel. Redan i början. Jag trodde att vektorn u hade 5 l.e men det var vektorn v.
Jag ska göra ett nytt försök med att lösa uppgiften så återkommer jag med min uträkning!
här är min lösning, den blev lite rörig pga liten skrivruta men jag gjorde mitt bästa. Blev lite förvånad att en uppgift med så många steg räknades som en C-uppgift…