vektorer
låt A,B,C och D utgöra höornen i en fyrhörning i planet. vektorerna och utgör en bas för planet och vektorerna utgör en annan. antag att fyrhörningen är en sådan attuttryck vektorerna ochi .
Var kör du fast? Har du ritat bild?
ABCD borde vara hörnen räknat antingen medsols eller motsols, men jag tycker det verkar som om ABDC stämmer bättre med vektorerna som nämns.
Jag vet inte hur jag ska börja eller rita.
be5612 skrev:Jag vet inte hur jag ska börja eller rita.
Prova i alla fall. En fyrhörning kan du ju rita. Sen kommer det där med 2/3 och 3/4 inte att stämma riktigt och då kan man justera, eller låtsas att det stämmer.
vad menas med uttryck vektorerna i
Kan du ta en bild på hur frågan är ställd det känns som att det kanske saknas något. :) Jag funderar på om f1=AD och f2=BC, där AD och BC är vektorer.
Men börja med att rita en fyrhörning med hörnen A,B,C,D. Så ska vi försöka hjälpa dig vidare.
be5612 skrev:vad menas med uttryck vektorerna i
Vet du vad som menas med bas? Att uttrycka e1 i basen {f1,f2} innebär att hitta tal k1 och k2 så att e1 = k1*f1+k2*f2.
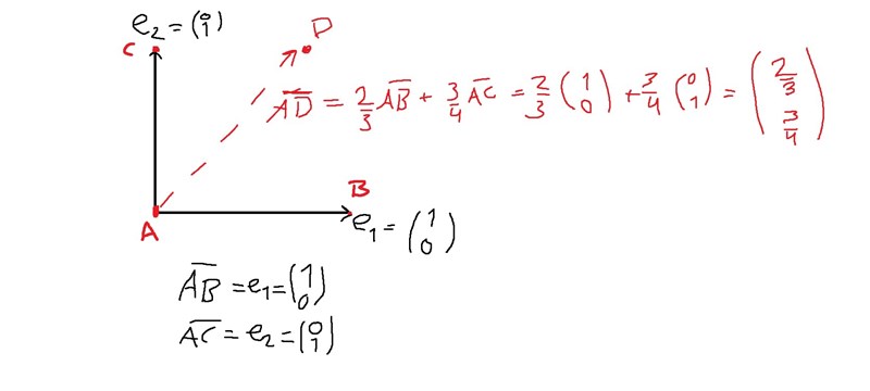
såhär ser frågan ut.
såhär har jag försökt rita. Jag har precis börjat läsa vektorer och det känns som att jag blir förvirrad av allt som står i boken
Ok bra! Så är du med på att e1 är pilen ifrån A till B (vektorn som startar i punkten A och landar i punkten B). Och att e2 är är pilen ifrån A till C (vektorn som startar i punkten A och landar i punkten C).
Edit: En vektor har ett belopp (en längd) och en riktning.
Egocarpo skrev:Ok bra! Så är du med på att e1 är pilen ifrån A till B (vektorn som startar i punkten A och landar i punkten B). Och att e2 är är pilen ifrån A till C (vektorn som startar i punkten A och landar i punkten C).
Edit: En vektor har ett belopp (en längd) och en riktning.
Ja, jag är med.
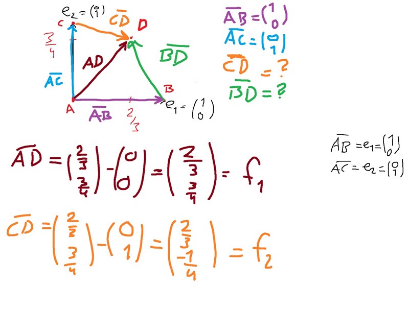
Ok så f1 är vektorn som börjar i punkten A och landar i punkten D, f2 är vektorn som startar i B och landar i C.
Men först måste vi ta hand om att placera punkt D korrekt. Punkten D ska vara 2/3 delar ut på AB sedan där du landar skall du lägga till (3/4)*AC.
Edit: Om du vill göra det lättare att se hade jag infört ett koordinatsystem: Man kan sätta A i origo och B en längdenhet ut på x-axeln och C en längdenhet ut på y-axeln. Prova rita denna, gör detta det lättare att se var punkten D hamnar?
Egocarpo skrev:Ok så f1 är vektorn som börjar i punkten A och landar i punkten D, f2 är vektorn som startar i B och landar i C.
Men först måste vi ta hand om att placera punkt D korrekt. Punkten D ska vara 2/3 delar ut på AB sedan där du landar skall du lägga till (3/4)*AC.
Edit: Om du vill göra det lättare att se hade jag infört ett koordinatsystem: Man kan sätta A i origo och B en längdenhet ut på x-axeln och C en längdenhet ut på y-axeln. Prova rita denna, gör detta det lättare att se var punkten D hamnar?
ska det se ut så?
Det funkar bra! Men vart ska D hamna nu? Du hade ett krav på AD.
be5612 skrev:
Egocarpo skrev:Det funkar bra! Men vart ska D hamna nu? Du hade ett krav på AD.
jag förstår inte riktigt
Så har hade jag ställt upp det med vektorer för att få en bild över det
Har du sett detta sättet att skriva vektorer?
Egocarpo skrev:Har du sett detta sättet att skriva vektorer?
tack. ja det har jag sett.
så att ligger 2/3 delar x-axeln och 3/4 delar på y-axeln
Okey så vilka koordinater får punkten D nu då?
Edit: e1 är ju hur långt man går i x-led och och e2 är hur långt man går i y-led.
be5612 skrev:så att ligger 2/3 delar x-axeln och 3/4 delar på y-axeln
Alltså Punkten D ligger där. AD är ju en vektor. Som pekar 2/3 i x-riktning och 3/4 i y-riktning.
Egocarpo skrev:be5612 skrev:så att ligger 2/3 delar x-axeln och 3/4 delar på y-axeln
Alltså Punkten D ligger där. AD är ju en vektor. Som pekar 2/3 i x-riktning och 3/4 i y-riktning.
ja,precis. men hur ska det kunna lösa uppgiften? jag börjar hata vektorer för jag fattar ingenting
Okey allt vi gjorde nu var att rita ut punkterna. För vi måste ha punkterna för att kunna ta fram vektorerna.
När vi har punkterna kan vi ta fram vektorer som pekar mellan dem. Med andra ord nu kan det roliga börja! Målet var att beskriva e1 och e2 i termer av BD och CD. Alltså målet är att ta reda på c1 ,c2 ,d1 och d2.
e1= c1*BD+c2*CD=c1*f1+c2*f2.
e2= d1*BD+d2*CD=d1*f1+d2*f2.
Edit: vet du hur du räknar ut vektorerna BD och CD?
Egocarpo skrev:
När vi har punkterna kan vi ta fram vektorer som pekar mellan dem. Med andra ord nu kan det roliga börja! Målet var att beskriva e1 och e2 i termer av BD och CD. Alltså målet är att ta reda på c1 ,c2 ,d1 och d2.
e1= c1*BD+c2*CD=c1*f1+c2*f2.
e2= d1*BD+d2*CD=d1*f1+d2*f2.
Edit: vet du hur du räknar ut vektorerna BD och CD?
nej jag vet inte
be5612 skrev:Egocarpo skrev:
När vi har punkterna kan vi ta fram vektorer som pekar mellan dem. Med andra ord nu kan det roliga börja! Målet var att beskriva e1 och e2 i termer av BD och CD. Alltså målet är att ta reda på c1 ,c2 ,d1 och d2.
e1= c1*BD+c2*CD=c1*f1+c2*f2.
e2= d1*BD+d2*CD=d1*f1+d2*f2.
Edit: vet du hur du räknar ut vektorerna BD och CD?nej jag vet inte
Oket för att ta reda på vektorn BD hade jag tagit D koordinaterna - B koordinaterna. (2/3 3/4) - (1 0) = (-1/3 3/4)
Edit: Nej jag har läst Fel vi skulle ha AD inte BD.
Förstår du hur jag tog fram f1 och f2?
Egocarpo skrev:
inte CD
be5612 skrev:Egocarpo skrev:
inte CD
Ah kan du räkna ut den med samma metod som jag använde? Dra en pil ifrån B till D och räkna ut vad den vektorn blir
Egocarpo skrev:be5612 skrev:Egocarpo skrev:
inte CD
Ah kan du räkna ut den med samma metod som jag använde? Dra en pil ifrån B till D och räkna ut vad den vektorn blir
menar du B till C?
Haha jo ursäkta är lite distraherad tydligen. Men jo räkna ut vektorn från B till C.
då har vi att
Yes okey så nu är målet att uttrycka e1 och e2 i termer av f1 och f2. Detta betyder hitta konstanterna c1 och c2 så att e1=c1*f1+c2*f2. Kan du ställa upp detta som vektorer och lösa ut c1 och c2.
Du kommer att få ett ekvationssystem med två ekvationer och två okända , c1 och c2.
Egocarpo skrev:Yes okey så nu är målet att uttrycka e1 och e2 i termer av f1 och f2. Detta betyder hitta konstanterna c1 och c2 så att e1=c1*f1+c2*f2. Kan du ställa upp detta som vektorer och lösa ut c1 och c2.
Du kommer att få ett ekvationssystem med två ekvationer och två okända , c1 och c2.
Egocarpo skrev:Yes okey så nu är målet att uttrycka e1 och e2 i termer av f1 och f2. Detta betyder hitta konstanterna c1 och c2 så att e1=c1*f1+c2*f2. Kan du ställa upp detta som vektorer och lösa ut c1 och c2.
Du kommer att få ett ekvationssystem med två ekvationer och två okända , c1 och c2.
jag vet inte om jag har räknat rätt men jag får
att
Ser bra ut! vet du hur du löser ett sånt system?
Egocarpo skrev:Ser bra ut! vet du hur du löser ett sånt system?
Du kan se om du fått rätt konstanter genom att stoppa in dem i ekvationerna och se om du får ut 1 och noll.
Sedan skall du löser ut konstanterna dyker upp för att beskriva e2=d1*f1+d2*f2.
Egocarpo skrev:Du kan se om du fått rätt konstanter genom att stoppa in dem i ekvationerna och se om du får ut 1 och noll.
Sedan skall du löser ut konstanterna dyker upp för att beskriva e2=d1*f1+d2*f2.
Så nu har du löst allt. Då ska du bara svara på frågan uttryck e1 och e2 i termer av f1 och f2.
e1=??
e2=??
Egocarpo skrev:Så nu har du löst allt. Då ska du bara svara på frågan uttryck e1 och e2 i termer av f1 och f2.
e1=??
e2=??
ursäkta mig, men jag förstår inte hur jag ska uttrycka dem i varandra
e1=c1*f1+c2*f2
e2=d1*f1+d2*f2
Så stoppa in värdera på c1,c2,d1 och d2 så har du uttryckt e1 och e2 i termer av f1och f2.
Egocarpo skrev:e1=c1*f1+c2*f2
e2=d1*f1+d2*f2
Så stoppa in värdera på c1,c2,d1 och d2 så har du uttryckt e1 och e2 i termer av f1och f2.
tack så jättemycket för hjälpen.
Varsågod! Hoppas det gick att förstå om du har någon mer frågor angående detta är det fritt att sända ett Pm. :)
Edit: Detta var inte ok så ignorera.
Nej, enligt Pluggakutens regler skall all hjälp ske i forumet - det är inte tillåtet med hjälp via pm. Detta är för att hjälpen skall vara sökbar. /moderator
Oj, jag tyckte att vi hade avslutat hjälpen med denna uppgiften. Så jag menade om det var några problem med liknande uppgifter så kunde jag hjälpa till över PM men det får man kanske inte?
Edit: Ops måste nog ta på mig läsglasögonen.
Som sagt var: All hjälp skall ske i forumet, inte via pm. /moderator
Ok ursäkta!
Egocarpo skrev:Yes okey så nu är målet att uttrycka e1 och e2 i termer av f1 och f2. Detta betyder hitta konstanterna c1 och c2 så att e1=c1*f1+c2*f2. Kan du ställa upp detta som vektorer och lösa ut c1 och c2.
Du kommer att få ett ekvationssystem med två ekvationer och två okända , c1 och c2.
Hej! sitter med ungefär samma problem, nu drygt två år senare, och har haft stor hjälp av denhär tråden. Jag förstår dock inte hur man ska ställa upp och lösa ett sådant ekvationssystem så provar att buffa denhär tråden. Är det någon som vill hjälpa till och förklara?
snöflingan skrev:Egocarpo skrev:Yes okey så nu är målet att uttrycka e1 och e2 i termer av f1 och f2. Detta betyder hitta konstanterna c1 och c2 så att e1=c1*f1+c2*f2. Kan du ställa upp detta som vektorer och lösa ut c1 och c2.
Du kommer att få ett ekvationssystem med två ekvationer och två okända , c1 och c2.Hej! sitter med ungefär samma problem, nu drygt två år senare, och har haft stor hjälp av denhär tråden. Jag förstår dock inte hur man ska ställa upp och lösa ett sådant ekvationssystem så provar att buffa denhär tråden. Är det någon som vill hjälpa till och förklara?
Om du gör en egen tråd där du visar hur långt du har kommit i stället för att kapa en urgammal grönmarkerad tråd (det betyder att det inte behövs mer hjälp) så är det stor chans att du kan få hjälp.
