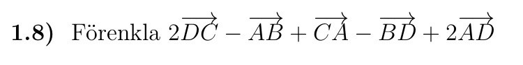
Vektorer addition och subtraktion för 4 punkter

Visa spoiler
Svar:
Jag har både testat att rita upp det och faktorisera ut 2:an men jag tror att jag fundamentalt inte förstår hur man subtraherar vektorer för sedan fastnar jag:
Axiom skrev:
Visa spoiler
Svar:
Jag har både testat att rita upp det och faktorisera ut 2:an men jag tror att jag fundamentalt inte förstår hur man subtraherar vektorer för sedan fastnar jag:
Lägg upp bilden du har ritat här!
Smaragdalena skrev:Axiom skrev:
Visa spoiler
Svar:
Jag har både testat att rita upp det och faktorisera ut 2:an men jag tror att jag fundamentalt inte förstår hur man subtraherar vektorer för sedan fastnar jag:
Lägg upp bilden du har ritat här!
Det här var mitt försök på bild:

Axiom skrev:Smaragdalena skrev:Axiom skrev:
Visa spoiler
Svar:
Jag har både testat att rita upp det och faktorisera ut 2:an men jag tror att jag fundamentalt inte förstår hur man subtraherar vektorer för sedan fastnar jag:
Lägg upp bilden du har ritat här!
Det här var mitt försök på bild:
Kan du förklara din bild? Jag hittar att du har lagt upp fyra punkter, A, B, C och D. Vektorn 2CD börjar i C, går genom D och fortsätter lika långt på andra sidan om D. Då hamnar du i en punkt som vi kan kalla E. Vektorn 2AD kan du låta starta i punkten E, den skall a samma lutning som vektorn som går från punkt A till punkt D och vara dubbelt så lång. Vi kan kalla dess slutpunkt F. Lägg upp bilden där du har ritat upp dessa båda punkter, så kan vi fortsätta därifrån.
Smaragdalena skrev:Axiom skrev:Smaragdalena skrev:Axiom skrev:
Visa spoiler
Svar:
Jag har både testat att rita upp det och faktorisera ut 2:an men jag tror att jag fundamentalt inte förstår hur man subtraherar vektorer för sedan fastnar jag:
Lägg upp bilden du har ritat här!
Det här var mitt försök på bild:
Kan du förklara din bild? Jag hittar att du har lagt upp fyra punkter, A, B, C och D. Vektorn 2CD börjar i C, går genom D och fortsätter lika långt på andra sidan om D. Då hamnar du i en punkt som vi kan kalla E. Vektorn 2AD kan du låta starta i punkten E, den skall a samma lutning som vektorn som går från punkt A till punkt D och vara dubbelt så lång. Vi kan kalla dess slutpunkt F. Lägg upp bilden där du har ritat upp dessa båda punkter, så kan vi fortsätta därifrån.
Eftersom jag faktoriserade ut 2:an har jag inte ritat ut 2DC eller 2AD utan bara alla utan skalär
Då får du förklara din bild bättre, jag förstår den inte. Var börjar du, och var hamnar du till slut?
Smaragdalena skrev:Då får du förklara din bild bättre, jag förstår den inte. Var börjar du, och var hamnar du till slut?
Det löste sig jag gjorde en ny bild där det syntes lite bättre och kunde då ersätta vissa delar till att bli något annat för att få rätt svar ex: -AB-BD=-AD