2
svar
65
visningar
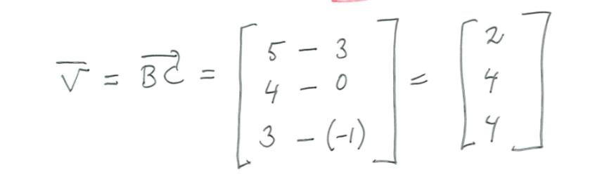
Vektorer i 3D system
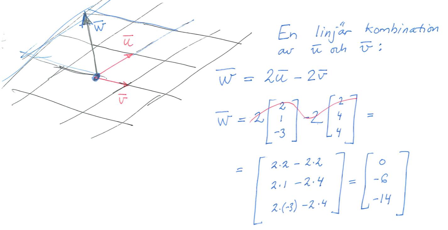
Hej! Hur kommer man fram till att W = 2u-2v? (sista bilden)



Tack på förhand!
Mvh
De har väl bara hittat på att ta just den linjärkombinationen, som exempel.
Ah okej tack!