Vektorer i en tetraeder
Hej!
Är helt och hållet fast på en uppgift, nämligen: I en tetraeder sammanbinder man mittpunkterna på motstående kantlinjer. Visa att dessa skär varandra i tyngdpunkten.
Har ingen som helst aning hur jag ska börja med uppgiften. Enligt uppgiftsboken verkar det inte som att man ska börja utifrån en punkt "O" i rummet för att ge uttryck för avstånden, likt det man gjort på tidigare uppgifter. Det som står i läroboken är inte heller något som jag direkt kan se hur jag ska använda i uppgiften.
Så min fråga är: Hur ska jag gå tillväga för att lösa uppgiften?
Jag skulle börja med att placera tetraedern i ett koordinatsystem med hörnen i t ex (1,1,1), (1,-1,-1), (-1, 1, -1) och (-1, -1, 1) (för säkerhets skull skulle jag rita upp det för att kolla att det verkligen blir en tetraeder, det är lätt att råka skriva fel). Sedan skulle jag ta fram koordinaterna för kanternas mittpunkter och ekvationerna för de linjer som sammanbinder mittpunkterna. Om jag tänkter rätt så blir det en hel del snälla siffror.
Smaragdalena skrev:Jag skulle börja med att placera tetraedern i ett koordinatsystem med hörnen i t ex (1,1,1), (1,-1,-1), (-1, 1, -1) och (-1, -1, 1) (för säkerhets skull skulle jag rita upp det för att kolla att det verkligen blir en tetraeder, det är lätt att råka skriva fel). Sedan skulle jag ta fram koordinaterna för kanternas mittpunkter och ekvationerna för de linjer som sammanbinder mittpunkterna. Om jag tänkter rätt så blir det en hel del snälla siffror.
Låter som en bra lösningsmetod som jag tyvärr inte kan nyttja. Det är först i nästa kapitel som koordinatsystem i tre dimensioner invigs. Det är dock fastställt i uppgiften att det är en tetraeder så det behöver jag nog inte dubbelkolla. Har du något annat förslag på hur man kan lösa den genom att endast använda vektorer? Tack ändå för lösningsmetoden!
Då anser jag att de har placerat uppgiften i fel kapitel.
Vilken lärobok använder du?
dr_lund skrev:Vilken lärobok använder du?
Linjär algebra av Gunnar Sparr med tillhörande uppgiftsbok
Jo, den boken känner jag till. Från vilket kapitel i Sparr är uppgiften hämtad?
Edit: Jo, nu hittade jag boken. Uppg 2.10- kapitel "Geometriska vektorer".
Då hör uppgiften till "rätt kapitel" (en kommentar till Smaragdalenas inlägg).
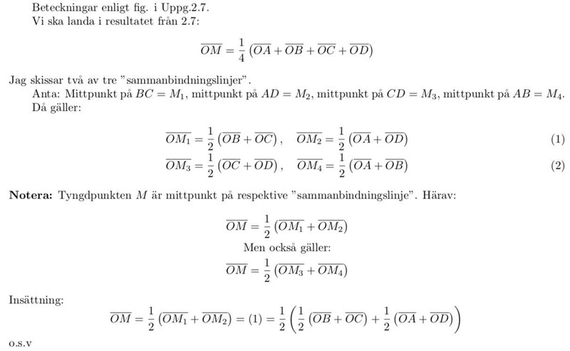
Jag skissar på en vektoriell lösningsidé:

dr_lund skrev:Jag skissar på en vektoriell lösningsidé:
Tack för den väldigt beskrivande lösningen! En fråga dock, hänger inte riktigt med på varför vi vet att M är mittpunkten på sammanbindningslinjerna. Är det på grund av formuleringen i frågan eller är det allmän vetskap?
Det antas vara bekant. Kolla i någon lärobok i geometri