2
svar
71
visningar
Samuel Pena Hernandez behöver inte mer hjälp
Vektorer i linjär algebra


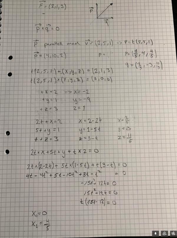
Jag tror jag förstår hur jag ska göra får bara inte korrekt svar. Ursäkta handstilen är lite stressad. Eftersom vektor P och V är parallell kan jag göra vektor P = t(2,5,1). Sedan skapar jag ekvation system som bör vara lösbart. Jag lyckas lösa problemet så addition av vektorerna blir rätt svar men produkterna går inte ihop.
Bra lösning! Men 5*5 är inte 10.
Var försiktig med din notation. Du använder kryssprodukt notationen istället för skalärprodukt.
Tack Calle ser det nu ska fixa det!