Vektorer och en krafts kartesiska komponenter

Jag tror att jag förstår denna illustration någorlunda, är vektorn Fs komponenter och enhetsvektorerna anger riktningen av samtliga komponenter.
Detta system sägs vara ett ON-system eller ortonormerat, och betyder att alla enhetsvektorer är vinkelräta, genom att normera samtliga komponenter så verifierar man att systemet är vinkelrätt och därför är enhetsvektorerna nödvändiga (detta är min första instinktiva förståelse av varför enhetsvektorerna presenteras så jag skulle uppskatta feedback om detta inte är korrekt).
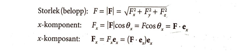
Min första fråga är gällande skillnaden mellan komponent och komposant,
Utifrån linjär algebra så vet jag att två vektorer som multipliceras skapar en skalär, är det fallet att en komponent anger hur "mycket" ex. x-komponenten bidrar medans x-komposanten anger storlek och riktning? Varför är det nödvändigt (pragmatiskt sätt) att särskilja? Sedan, om är en vektor dvs. samling av koordinater, är det av typen (n,0,0) eftersom en x-komposant inte borde ha någon koordinat i y eller z.

Min slutliga fråga gäller dessa samband, tänker jag rätt om jag ser det på detta sätt:
= (n,0,0)+(0,n,0)+(0,0,n) är addition av alla som skapar vektorn F,
är storlek multiplicerat med riktning och därav skapar en vektor och hädanefter precis samma steg som ovanför,
dessa två leder till den slutliga (Fx,Fy,Fz).
Jag vet att men hur skulle ex. skrivas, det är ju inte en vektor med koordinater, är det en skalär? Det skulle ju innebära att är x,y,zs kombinerade skalärer?
Jag är inte säker på om mina frågor är logiska, jag har precis börjat detta stadie av min utbildning där jag använder linjär algebra för fysikaliska tillämpningar och är lite förvirrad, tack i förhand!
Det var väldigt många något förvirrande beteckningar och begrepp på en gång. Den enskilda raden efter fjärde stycket säger det mesta: Fx är en Skalär, ex är en Basvektor och Fx ex är en Vektor. Den kan utgöra en Komposant om den är en term i en summa av vektorer. Vektorer kan multipliceras på minst två sätt: Vektorprodukt som ger en vektor som resultat och Skalärprodukt som ger en skalär som resultat. Det är den senare som du beskrivit här ovan.