1
svar
1602
visningar
solaris behöver inte mer hjälp
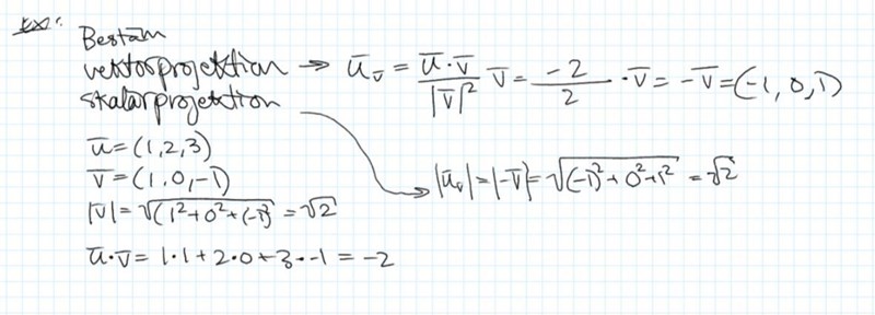
vektorprojektion och skalärprojektion
Jag skall bestämma vektor o skalärprjektionen av u och v men går fel svar på skalärprojektionen. Är inte skalärprojektionen längden av vektorprojektionen? dvs |Uv| deras svar är -sqrt(2)
Att skalärprojektionen är samma sak som längden av vektorprojektionen gäller enbart ifall vinkeln mellan vektorerna är mellan 0 och nittio grader. I detta fall är vinkeln ungefär , alltså får vi fel tecken.
Den egentliga definitionen av skalärprojektionen är:
Denna definition ger det korrekta svaret .