3
svar
139
visningar
Vektorvärda funktioner
Hej!
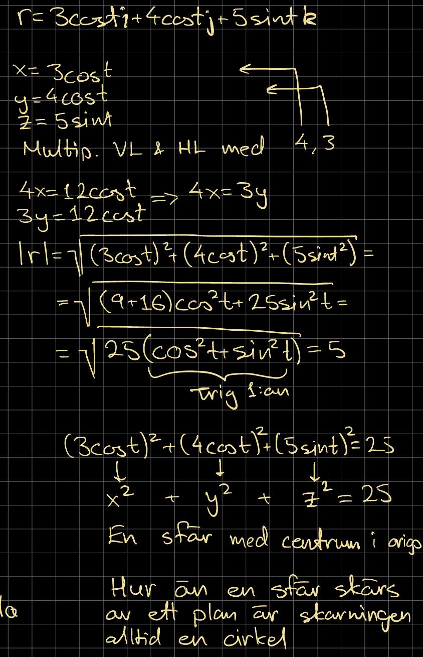
Tacksam om någon kan hjälpa mig med uppgift 9. Hur får man fram banan? Testade att rita den men lyckades inte. Försökte använda geogebra men jag fick inte något fram.
Uppgift :

Min lösning;

Facit:

Tack!!
Cien skrev:
Men hur vet man att banan bildas av skärningen mellan en cirkel och en plan? Känner mig helt osäkert i flervariabelanayls 😬.

