3
svar
178
visningar
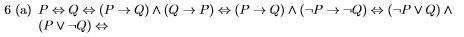
Velleman, how to prove it 1.5 fråga 6(a)

Jag har gjort följande

Ganska säker på att jag har applicerat lagarna rätt hittills men det undgår mig totalt hur man göra sista steget.
Mvh
För att gå från till kan du använda De Morgans lagar.
Eller det går snabbare om du använder bara att
creamhog skrev:För att gå från till kan du använda De Morgans lagar.
Edit: Råkade trycka fel, menade inte att länka detta.