2
svar
104
visningar
Hej
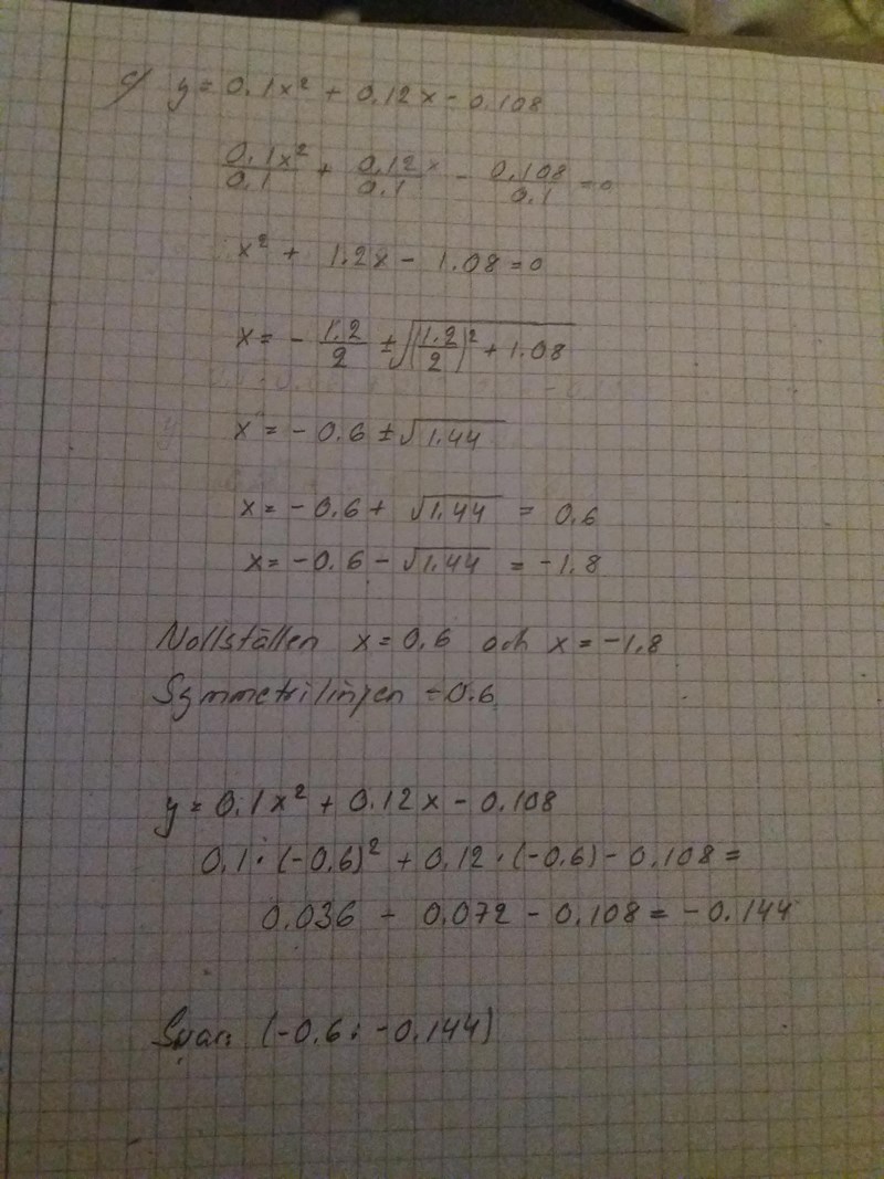
Det stämmer bra jobbat! men som jag sa i tidigare inlägg symmetrilinjen är du behöver inte ta fram nollställen. Det tar bara onödigt mycket tid.
Tack för detta Jonis

