Vertikal fjäder
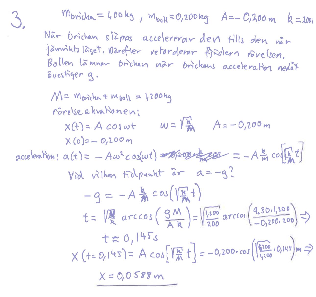
Hej, sitter med uppgiften nedan och fastnar på några saker i facit.


Det jag främst fastnar på är varför de fortfarande har kvar minustecknet för A när det står -A i ekvationen för acceleration? Med detta fel (jag tänkte att -(-A) skulle bli positivt) får jag istället 5,644 s vilket är en markant skillnad sett till deras tid. De tar samtidigt bort tecknet för gravitationen och det enda jag skulle tänka mig är om tecknena tar ut varandra i kvoten.
Inget stort problem men skulle nog definitivt gett avdrag på tenta.
I lösningen har man valt en riktning som positiv. Det kvittar vilken man väljer, men här har man valt uppåt.
När fjädern trycks ihop får bollen en negativ position, osv.
MEN
sedan har man använt g=9.80 m/s2 som ett värde utan riktning. Då blir det ganska konstigt, som du märker. För att då beskriva att accelerationen är riktad neråt måste man skriva a = -g trots att man menar att a skall vara 9.80 m/s2 riktad åt samma håll som tyngdaccelerationen. Det här blir förvirrande.
Allt hade blivit enklare om man hade skrivit g=-9.82 m/s2, nu när vi vet att positivt betyder uppåt och tyngdaccelerationen är riktad neråt. (Nio komma åtta två, inte nio komma åtta noll.)
Jag tycker att lösningen är någonstans mellan "dålig" och "fel". Det är bra att du reagerade.
Ja, jag tänker eftersom vi vet att g alltid är 9.82 så känns det ju som att de menar att den ska vara negativ. Skulle vara bättre om de ritade en bild som visade positiv x- och y-axel. Blir så knasigt när ens föreläsare skriver sådana lösningsförslag.
Antar att det är liknande fel gällande variabeln A? Jag menar på att den ska vara positiv trots att de skrivit den negativ. Eftersom vi har andraderivatan av rörelseekvationen:
g är negativ OM vi definierar "uppåt" som positivt.
Fjädern var ju hoptryckt (nedåt) så A är negativt.