Vertikalt hopp
Hej!
Jag undrar om jag har tänkt rätt med denna uppgift?
Raderad länk. Se svaren nedan. /Jonto, moderator.
Hej.
Dokumentet ligger på en plats som vi inte kommer åt.
Kan du ladda upp en bild istället?
metoden du använder är ok, du har gjort några fel på vägen som någon markerat med rött.
Det finns andra sätt att lösa uppgiften:
1- använd formeln v2 =v02 + 2as
2. - använd energins bevarande. mv2/2 = mgh
De ger givetvis samma resultat men med mindre räknande
Okej tack. Det är jag som har markerat i rött för att visa hur jag tänker när jag skriver om uttrycket, jag kanske skulle ha använt en annan färg.
Aha okej, så om jag använder formeln och skriver om den så att som du har skrivit. Sedan sätter jag eftersom att jag vet att hastigheten är noll när han når högsta läget, dvs 1,3 meter. Då får jag att och jag kan på så sätt lösa ut ?
Ja!
Okej, tack så mycket!
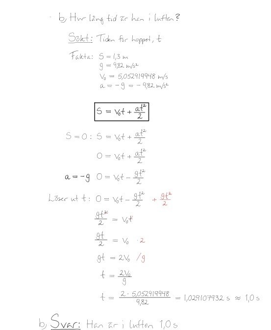
Sen undrar jag också om jag har tänkt rätt på fråga b) där jag ska ta reda på hur länge han är i luften?
.jpg?width=800&upscale=false)
Det ser rätt ut
En alternativ metod är att titta på tiden från högsta punkten till marken och använda
v= at, där v är sluthastigheten (som är lika med starthastigheten) som vi räknade ut i a uppgiften. Viktigt att använda värdet på v innan vi rundade av!
Han är i luften både på vägen upp och på vägen ned så här måste vi multiplicera med 2 på slutet,
då får vi
5,1 = 9,82*t => t = 5,053/9,82
Tid i luften = 2*5,053/9,82 = 1,03 som vi rundar till 1,0
Okej tack så mycket för hjälpen! :)
