Vet inte hur jag ska lösa uppgiften.
Jag har problem med ett matte tal och vet inte hur jag ska lösa det. Om någon kan visa hur man löser den skulle det vara till stor hjälp! Det är både a och b som är oklara.
Hur har du tänkt själv? Det står i Pluggakutens regler att du skall visa hur du har försökt och hur långt du har kommit. /moderator
Kan du markera i figuren vilket område det gäller i a?
Det jag har funderat på är: y=f(x) är y=2x + 3 och y=h(x) är en andragradsfunktion med x1 = -5 x2 = 5 och y = -2. y=h(x) har jag alltså inte riktigt kunnat räkna ut vad den har för ekvation. Jag tänker om jag kan ta reda på vad dessa två funktioner har för ekvationer så kanske jag kan ha en chans att lösa uppgiften.
Gränserna på a) är 4 och 0.
Detta är området:
Men i a står det om f och g, inte f och h.
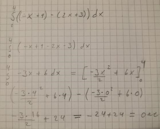
Det är... sant, testade med g(x) = -x + 9 och f(x) = 2x+3.
Här kommer min "lösning", det är 100% inte rätt svar jag kommit fram till. Svar: 0 ae. Svaret jag kom fram till är orimligt då området ovan x-axeln är garanterat större än det under x-axeln. Vart gick jag fel? Gjorde jag fel redan från början?

Du har fel uttryck för f(x). Lutningen stämmer inte. (Jag tycker det är bra att komma ihåg att k=1 motsvarar en lutning på 45o. Linjen f(x) lutar mindre än så, alltså måste riktningskoeffocienten vara mindre än 1.)
Du behöver inte integrera för att få fram svaret i a. Området är en triangel med basen 6 och höjden 4.
Jag tänkte också på att göra en triangel samt en rektangel av området ovanför x-axeln. Men efter detta återstår området under x-axeln.
Området ovanför har arean 12 + 4
4ae från triangeln .
12ae från rektangeln.
Men det område som är under x-axeln hur räknar jag ut den? Jag har ingen ekvation för funktionen men jag vet att x1 = -5 och x2 = 5 samt att y = -2. Hur får jag fram ekvationen?
Eller om det står dx betyder det att det är x-axeln som området ska sluta vid?
lime skrev:Jag tänkte också på att göra en triangel samt en rektangel av området ovanför x-axeln. Men efter detta återstår området under x-axeln.
Området ovanför har arean 12 + 4
4ae från triangeln .
12ae från rektangeln.
Men det område som är under x-axeln hur räknar jag ut den? Jag har ingen ekvation för funktionen men jag vet att x1 = -5 och x2 = 5 samt att y = -2. Hur får jag fram ekvationen?
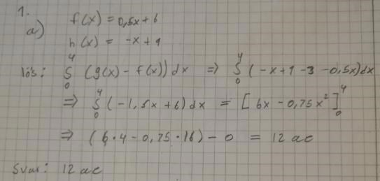
Om du fortfarande arbetar med a-uppgiften så beräknar du något helt annat än det som efterfrågas.
Läs uppgiften igen. Det smdu ska ta reda på i a-uppgiften är värdet av integralen av g(x) - f(x) från x = 0 till x = 4.
Observera att f(x) och g(x) är de räta linjerna i figuren. Du ska inte blanda in parabeln h(x) här.
Detta värde är lika stort som arean av området mellan g(x) och f(x) från x = 0 till x = 4.
Jag har markerat detta område med grönt i figuren.

Så om man delar upp det gröna området i två trianglar, en med höjden 3 och basen 3 en annan med höjden 4 och basen 2 så får man att den första triangeln med höjden 3 har arean 4,5 och den med höjden 4 har arean 4. 4,5 ae + 4 ae blir alltså 8,5 ae. Är detta korrekt?
a) Svar: Området är 8,5ae.
lime skrev:Så om man delar upp det gröna området i två trianglar, en med höjden 3 och basen 3 en annan med höjden 4 och basen 2 så får man att den första triangeln med höjden 3 har arean 4,5 och den med höjden 4 har arean 4. 4,5 ae + 4 ae blir alltså 8,5 ae. Är detta korrekt?
a) Svar: Området är 8,5ae.
Nej, i så fall en triangel med höjd 4 och bas 4 och den andra med höjd 4 och bas 2.
Men du behöver inte dela upp den. Vrid bilden 90° moturs så ser du att det grönmarkerade området kan beskrivas som en enda triangel med höjd 4 och bas 6.
Går det verkligen att vrida den 90 grader, den är ytterst nära att vara rätvinklig men den är inte det. Den måste vara rätvinklig för att kunna köra triangel formel väl?
Fick lite hjälp på skolan idag och det var denna lösning som vi kom fram till. Den känns mer rätt. 
Triangeln behöver inte vara rätvinklig.
lime skrev:Går det verkligen att vrida den 90 grader, den är ytterst nära att vara rätvinklig men den är inte det. Den måste vara rätvinklig för att kunna köra triangel formel väl?
Jorå, det går både att vrida och beräkna:

Fick lite hjälp på skolan idag och det var denna lösning som vi kom fram till. Den känns mer rätt.
Ja det går även att räkna fram arean med hjälp av integralen. Bra att kolla att det ger samma resultat som A = b*h/2.