3 svar
176 visningar
AlexanderJansson behöver inte mer hjälp
AlexanderJansson 756
Postad: 29 apr 2024 20:40 Redigerad: 29 apr 2024 20:40

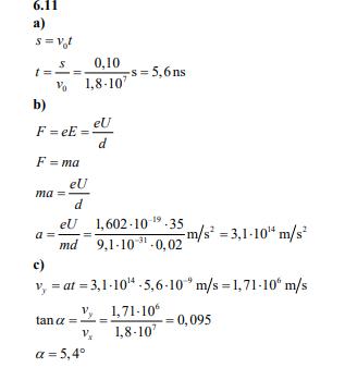
Vi vet hastigheten i y led efter den paserat samt vilken accerelation i y led, samt tiden.

En korrekt lösning är ovan, men jag tänkte att på c frågan att beräkna den sträcka som färdas nedåt med v^2-v0^2=2as, sedan använda trigonomitri och då får jag en dubbelt så liten vinkel varför? Kan man ens göra som jag tänker?

a frågan ger tiden,

b frågan ger accerelationen nedåt,

 

och c frågan ger vinkeln en elektron böjs av igenom ett homogent fällt.

Jan Ragnar Online 2218
Postad: 29 apr 2024 22:10

Så vitt jag förstår så har du varken presenterat själva uppgiften eller ditt eget förslag till lösning!

AlexanderJansson 756
Postad: 3 maj 2024 23:13
Jan Ragnar skrev:

Så vitt jag förstår så har du varken presenterat själva uppgiften eller ditt eget förslag till lösning!

Det verkar som det är skillnad mellan att beräkna en vinkel genon vy/vx och beräkna medelhastiheten i y led och använda s =vt och dedan genom trigonemitri ta reada på vinkeln, jag får dubbelt så litet svar, varför ger den sist nämnda metoden annorlunda svar, om vi bortser från uppgiften.

Pieter Kuiper 9458 – Avstängd
Postad: 3 maj 2024 23:52
AlexanderJansson skrev:
om vi bortser från uppgiften.

Men vi har ju ingen aning vad det handlar om.

Svara
Close