Vika en kant
Hej kan någon hjälpa mig med denna fråga? 
Frågan finns löst i en annan tråd.
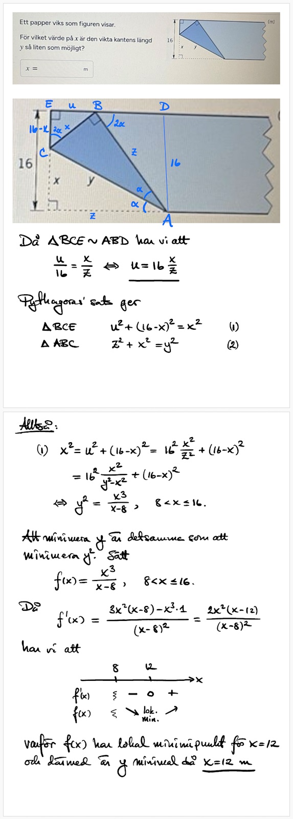
Använd Pythagoras sats. Kan likformiga trianglar konstrueras?
Jag blir nyfiken hur dessa uppgifter uppkommer. Är det en nationell databas? Är det förlaget som har en uppgiftsbas?
är det vanligt med digitala uppgifter i skolan idag? Är detta prov eller övningsuppgifter?
Dr. G skrev:Frågan finns löst i en annan tråd.
Använd Pythagoras sats. Kan likformiga trianglar konstrueras?
Hej jag hittar inte tråden kan du länka den eller förklara hur lite
Här är en gammal tråd: https://www.pluggakuten.se/trad/gamla-zombier-fran-matte-boken-1/
Trinity2 skrev:Jag blir nyfiken hur dessa uppgifter uppkommer. Är det en nationell databas? Är det förlaget som har en uppgiftsbas?
är det vanligt med digitala uppgifter i skolan idag? Är detta prov eller övningsuppgifter?
Hej vi har en plattform där vi får uppgifter att öva på och ja det mesta är digitalt numera!
Jaha16 skrev:Trinity2 skrev:Jag blir nyfiken hur dessa uppgifter uppkommer. Är det en nationell databas? Är det förlaget som har en uppgiftsbas?
är det vanligt med digitala uppgifter i skolan idag? Är detta prov eller övningsuppgifter?
Hej vi har en plattform där vi får uppgifter att öva på och ja det mesta är digitalt numera!
OK, intressant. Mycket har ändrat sig sedan man satt med griffeltavla...
Här är en lösning som grundar sig på likformighet (jag tyckte inte jag såg en sådan tidigare i länken och deras lösningar var överdrivet komplexa IMHO)
