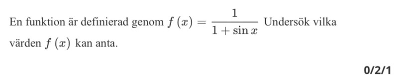
Vilka värden kan f(x) anta
Hejsan! Jag vet inte hur jag ska tänka. Jag vet att x inte får vara lika med 270+360n för då är uttrycket ej definierat. Men hur ska man tänka när det kommer till f(x)?
Bra början! Titta på funktionen . Vilken värdemängd har den? :)
Smutstvätt skrev:Bra början! Titta på funktionen . Vilken värdemängd har den? :)
Hur menar du att titta g(x)=sin(x)?
Vilken värdemängd har den funktionen? :)
1/2 > f(x) > 0
Nej, det stämmer inte. Funktionen , vilken värdemängd har den? Vilka värden kan uttrycket anta då x varierar?
Derivatan av sin(x)=cos(x) vet inte om jag förstår din fråga
Smutstvätt menar att om du vet värdemängden för sin(x) så är det till hjälp när du ska få fram värdemängden för f(x).
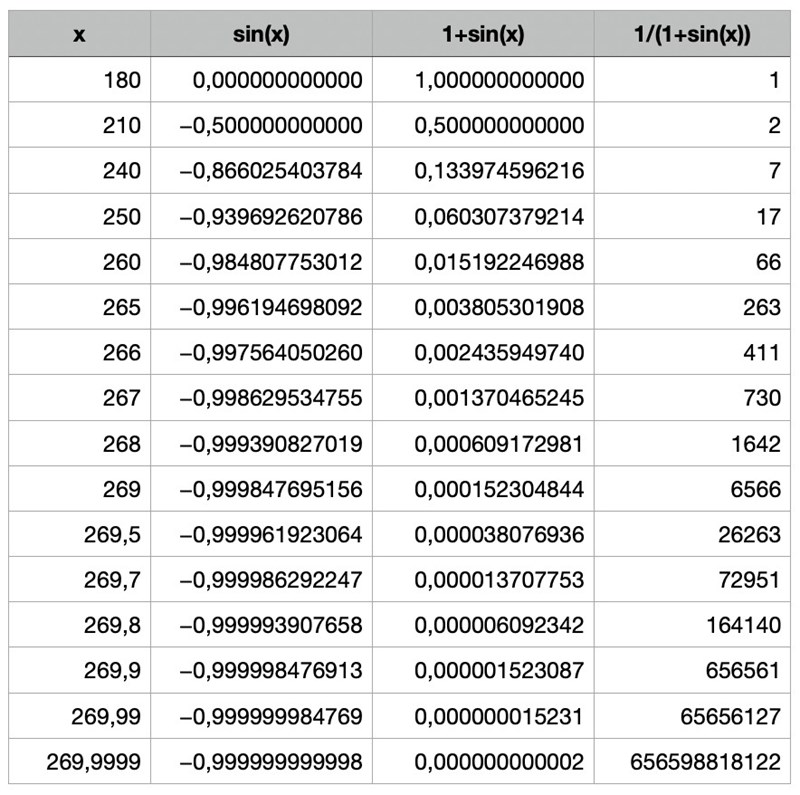
Jag vet att du vet att -1 <= sin(x) <= 1
Vad säger det om värdemängden för hela uttrycket?
Det kan då antingen vara
1/(1+1) = 1/2
eller 1/(1-1) vilket är ej definierat… Division med noll är ej definierat.
Hur ska jag tänka?
Ja, 1/2 är det minsta f(x) kan bli.
Som du konstaterat är funktionen inte definierad då sin(x)=-1.
När sin(x) går mot -1 så går funktionen mot ...?
Hmm vet inte
Du har nästan redan sagt det själv när du i frågan sa att f(x) är odefinierat för sin(270).
När sin(x) går mot -1 går nämnaren 1+sin(x) mot 0. Då går f(x) mot oändligheten.
Det minsta värdet är således 1/2 och det finns ingen övre gräns.
Glöm inte att det alltid är bra att låta räknaren rita upp grafen. Det är ett bra sätt att få en känsla för grafen och för att kontrollera svaret.
Intuitivt tänk,
Så lodrät asymptot för . Den är kontinuerlig för för alla utom tror jag. Det är inte jätteviktigt för frågan, det räcker med visa den inte kontinuerlig för .
Den är dock kontinuerlig i sin definitionsmängd viktigt att påpeka.
Vad kan minsta värdet vara, det bör väll vara när nämnaren är "stor". Den är begränsad och kan som max bli 2. Intuitivt tänk åter igen.
Så bör målmängden vara tänker jag.
Man får inte använda miniräknare på den här uppgiften. Men jag förstår inte hur ni kan komma fram till att minsta värdet är 1/2 och att grafen går mot oändligheten
Eftersom sin(x) som störst kan bli 1 kan nämnaren som störst bli 2 eller hur?
Och då kan f(x) som minst bli 1/2.
Andra gränsen är om sin(x)=-1. Då blir det division med 0 så ej definierat.
Men om sin(x) är väldigt när -1 blir ju nämnaren väldigt nära 0.
Och 1/"väldigt nära 0" är ju oändligheten.
Sen ska man som Stuart skrev ha med att eftersom sin(x) är kontinuerlig mellan -1 och 1 så blir f(x) kontinuerlig.
Ska man anta att sin(x) aldrig blir -1? Utan att den går emot -1 .. Hmm känns lite konstigt att hänga med . Hur ser du att den ska gå emot oändligheten
Nej, inget ska antas.
Man ska se att nämnaren kan bli hur liten (nära 0) som helst eftersom sin(x) kan komma hur nära -1 som helst.
