Vilka Värden kan K Anta?
Hej! Behöver hjälp med följande uppgift
Vi drar en tagent till kurvan y = kx^2 och en annan tagent till kurvan y = k(x-2)^2 och båda tagenterna dras genom kurvornas skärningspunkt. För vilka värden på parametern K är tagenterna vinkelräta mot varandra?
Har försökt klura på denna ett tag, har gjort men kommer ingenstans.
Är tacksam för all hjälp jag kan få!
k1*k2 ska vara -1, till att börja med.
Men det första du kan göra är att ta reda på skärningspunkten.
Börja med att ta fram kurvornas skärningspunkt.
Vad blir derivatorna i skärningspunkterna?
Sätt in dem i och lös ut för .
AlvinB skrev:Börja med att ta fram kurvornas skärningspunkt.
Vad blir derivatorna i skärningspunkterna?
Sätt in dem i och lös ut för .
Hur gör jag det? Är det genom att sätta kx^2=k(x-2)^2?
Just det. Då får du ett -värde som skärningspunkt. Vilket?
AlvinB skrev:Just det. Då får du ett -värde som skärningspunkt. Vilket?
jag får fram x = x - 2
babbum skrev:AlvinB skrev:Just det. Då får du ett -värde som skärningspunkt. Vilket?
jag får fram x = x - 2
Om du drar roten ur båda sidor missar du lösningar. Pröva istället att veckla ut parentesen.
babbum skrev:AlvinB skrev:Just det. Då får du ett -värde som skärningspunkt. Vilket?
jag får fram x = x - 2
Dags att rita, tror jag.
AlvinB skrev:babbum skrev:AlvinB skrev:Just det. Då får du ett -värde som skärningspunkt. Vilket?
jag får fram x = x - 2
Om du drar roten ur båda sidor missar du lösningar. Pröva istället att veckla ut parentesen.
x^2 = x^2 - 4x +4 får jag då. Vad ska jag göra näst? Ta roten ur det?
Subtrahera på båda sidor.
Laguna skrev:k1*k2 ska vara -1, till att börja med.
Men det första du kan göra är att ta reda på skärningspunkten.
0 = -4x + 4
babbum skrev:Laguna skrev:k1*k2 ska vara -1, till att börja med.
Men det första du kan göra är att ta reda på skärningspunkten.
0 = -4x + 4
Ja, vad blir då?
AlvinB skrev:babbum skrev:Laguna skrev:k1*k2 ska vara -1, till att börja med.
Men det första du kan göra är att ta reda på skärningspunkten.
0 = -4x + 4
Ja, vad blir då?
Ahha nu slog det i huvudet. X =1
Just det. Vad blir funktionernas derivata vid ?
AlvinB skrev:Just det. Vad blir funktionernas derivata vid ?
f'(1) = 2k
f'(1)=-2k
Vet ej om det blev rätt
Precis. För vilka blir då
?
AlvinB skrev:Precis. För vilka blir då
?
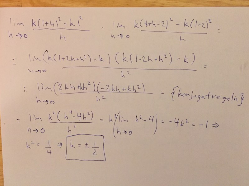
-4k^2=-1
k^2=-1/-4
k^2=0.25
k= (0.5) och (-0.5)
Blev det rätt nu?
babbum skrev:AlvinB skrev:Precis. För vilka blir då
?
-4k^2=-1
k^2=-1/-4
k^2=0.25
k= (0.5) och (-0.5)
Blev det rätt nu?
Ja, det stämmer.
AlvinB skrev:babbum skrev:AlvinB skrev:Precis. För vilka blir då
?
-4k^2=-1
k^2=-1/-4
k^2=0.25
k= (0.5) och (-0.5)
Blev det rätt nu?Ja, det stämmer.
Tack så mycket för hjälpen!
Går också att lösa medelst derivatans definition:
