Vilken är den minsta fart som kulan måste skjutas ut med för att ta sig över klippan?



Hej!
Rätt svar är 33 m/s. Jag förstår ej varför mitt svar ej duger.
Jag har inte kontrollerat hela din lösning, men du bör i din figur tydligt ange var och hur du lägger in koordinatsystemet.
Nu ser det ut som att du använder höjden 1 meter och 25 meter när du egentligen antingen ska använda 1 meter och 26 meter eller 0 meter och 25 meter.
Yngve skrev:Jag har inte kontrollerat hela din lösning, men du bör i din figur tydligt ange var och hur du lägger in koordinatsystemet.
Nu ser det ut som att du använder höjden 1 meter och 25 meter när du egentligen antingen ska använda 1 meter och 26 meter eller 0 meter och 25 meter.
Okej ja jag missade att ange var och hur jag lägger mitt koordinatsystem. Jag valde att lägga mitt koordinatsystem vid höjden 1 m upp till klippan där det är 25 m i höjd. Men om vi börjar sätta koordinatsystemet från 1 m,betyder det att kulan börjar från 1 m dvs S0 upp till 26 m?
Okej ja jag missade att ange var och hur jag lägger mitt koordinatsystem. Jag valde att lägga mitt koordinatsystem vid höjden 1 m upp till klippan där det är 25 m i höjd.
Menar du att kanonmynningen är i punkten (0,1) och att klippans topp har koordinaterna (68,25)? I så fall är din klippa bara 24 meter hög.
Smaragdalena skrev:Okej ja jag missade att ange var och hur jag lägger mitt koordinatsystem. Jag valde att lägga mitt koordinatsystem vid höjden 1 m upp till klippan där det är 25 m i höjd.
Menar du att kanonmynningen är i punkten (0,1) och att klippans topp har koordinaterna (68,25)? I så fall är din klippa bara 24 meter hög.
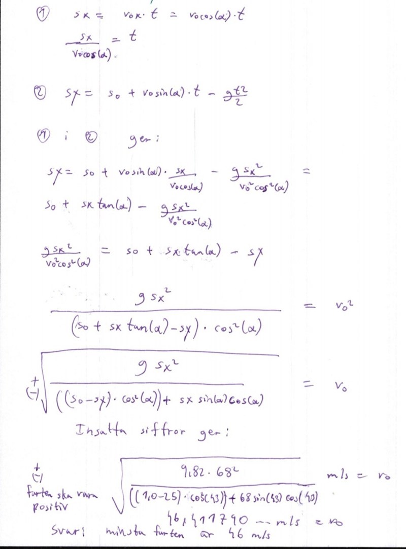
Vi börjar från S0=1 m upp till 26 m höjd när vi kommer till klippan. Då blir det 26=1+v0y*t-gt^2/2
destiny99 skrev:
Vi börjar från S0=1 m upp till 26 m höjd när vi kommer till klippan. Då blir det 26=1+v0y*t-gt^2/2
Det stämmer, men det blir tydligare om du använder x och y istället för sx och sy för att beteckna den horisontella respektive vertikala positionen.
Med koordinatsystem enligt bilden så blir det tydligt att kulan börjar vid x = 0, y = 1 och att y-värdet då x = 68 måste vara större än 26.

Lärdom: Rita alltid in ett koordinatsystem. Det minskar avsevärt risken för felaktigt uppställda samband.
Yngve skrev:destiny99 skrev:Vi börjar från S0=1 m upp till 26 m höjd när vi kommer till klippan. Då blir det 26=1+v0y*t-gt^2/2
Det stämmer, men det blir tydligare om du använder x och y istället för sx och sy för att beteckna den horisontella respektive vertikala positionen.
Med koordinatsystem enligt bilden så blir det tydligt att kulan börjar vid x = 0, y = 1 och att y-värdet då x = 68 måste vara större än 26.
Lärdom: Rita alltid in ett koordinatsystem. Det minskar avsevärt risken för felaktigt uppställda samband.
I min figur ritade jag den koordinatsystem vid kanonen och ej vid origo som du gjorde. Men det påminner mig om att vara pigg för uppgifter och ha ork att göra dem korrekt. (Det var en annan situation när jag satt med den frågan).
Jag kan ej utläsa från din figur var y=1 ligger på ditt koordinatsystem. Menar du att för x=68 m så blir det över y=26 m ? Om ej,varför blir y över 26 m och ej över 25m?
destiny99 skrev:I min figur ritade jag den koordinatsystem vid kanonen och ej vid origo som du gjorde. Men det påminner mig om att vara pigg för uppgifter och ha ork att göra dem korrekt. (Det var en annan situation när jag satt med den frågan).
I din figur ser jag en vektor v0 som.är uppdelad i två komposanter v0x och v0y.
Men jag ser inget koordinatsystem.
Jag kan ej utläsa från din figur var y=1 ligger på ditt koordinatsystem. Menar du att för x=68 m så blir det över y=26 m ? Om ej,varför blir y över 26 m och ej över 25m?
I min figur ligger origo vid marknivå vertikalt under kanonens mynning.
I texten står det att kanonmynningen befinner sig 1 meter ovan mark och 68 meter från klippan. Alltså är kanonens mynning vid y = 1.
Vidare står det att det vertikala avståndet mellan kanonmynnongen och klippans topp är 25 meter.
Därför är klippans topp 1+25 = 26 meter ovan mark.
Kanonkulans ursprungsposition är nu (0, 1) och "målet" är (68, 26).
=== Kommentar ===
Det hade gått utmärkt att istället lägga origo vid kanonens mynning.
Då skulle det horisontella avståndet till klippan fortfarande vara 68 meter men det vertikala avståndet till klippans topp skulle då endast ha varit 25 meter.
Kanonkulans ursprungsposition skulle då ha varit (0, 0) och "målet" skulle ha varit (68, 25).
Yngve skrev:destiny99 skrev:I min figur ritade jag den koordinatsystem vid kanonen och ej vid origo som du gjorde. Men det påminner mig om att vara pigg för uppgifter och ha ork att göra dem korrekt. (Det var en annan situation när jag satt med den frågan).
I din figur ser jag en vektor v0 som.är uppdelad i två komposanter v0x och v0y.
Men jag ser inget koordinatsystem.
Jag kan ej utläsa från din figur var y=1 ligger på ditt koordinatsystem. Menar du att för x=68 m så blir det över y=26 m ? Om ej,varför blir y över 26 m och ej över 25m?
I min figur ligger origo vid marknivå vertikalt under kanonens mynning.
I texten står det att kanonmynningen befinner sig 1 meter ovan mark och 68 meter från klippan. Alltså är kanonens mynning vid y = 1.
Vidare står det att det vertikala avståndet mellan kanonmynnongen och klippans topp är 25 meter.
Därför är klippans topp 1+25 = 26 meter ovan mark.
Kanonkulans ursprungsposition är nu (0, 1) och "målet" är (68, 26).
=== Kommentar ===
Det hade gått utmärkt att istället lägga origo vid kanonens mynning.
Då skulle det horisontella avståndet till klippan fortfarande vara 68 meter men det vertikala avståndet till klippans topp skulle då endast ha varit 25 meter.
Kanonkulans ursprungsposition skulle då ha varit (0, 0) och "målet" skulle ha varit (68, 25).
Menar du såhär när du säger att vi kan lägga origo vid kanonens mynning?

Ja, precis så.
Om du vill kan du istället lägga origo vid klippans topp, i vilket fall startpunkten skulle vara (-68 -25) och "målpunkten" vara (0, 0).
Eller att du lägger origo t.ex. 40 meter ovanför och 14 meter till vänster om kanonmynningen. Då skulle startpunkten vara (14, -40) och "målpunkten" vara (82, -15).
Du kan till och med rikta y-axeln nedåt. Då blir ursprungshastigheten i y-led negativ och accelerationen I y-led positiv.
Du ser att väldigt mycket hänger på hur du lägger in koordinatsystemet.
Därför är det så viktigt att tydliggöra detta i början av din lösning, både för dig själv och för läsaren.
Yngve skrev:Ja, precis så.
Om du vill kan du istället lägga origo vid klippans topp, i vilket fall startpunkten skulle vara (-68 -25) och "målpunkten" vara (0, 0).
Eller att du lägger origo t.ex. 40 meter ovanför och 14 meter till vänster om kanonmynningen. Då skulle startpunkten vara (14, -40) och "målpunkten" vara (82, -15).
Du kan till och med rikta y-axeln nedåt. Då blir ursprungshastigheten i y-led negativ och accelerationen I y-led positiv.
Du ser att väldigt mycket hänger på hur du lägger in koordinatsystemet.
Därför är det så viktigt att tydliggöra detta i början av din lösning, både för dig själv och för läsaren.
Aa okej då är jag med. Jo det har du helt rätt i. Tack för klargörande gällande vikten av ett koordinatsystem.