Vilken är ekvationens andra rot?
Hej!
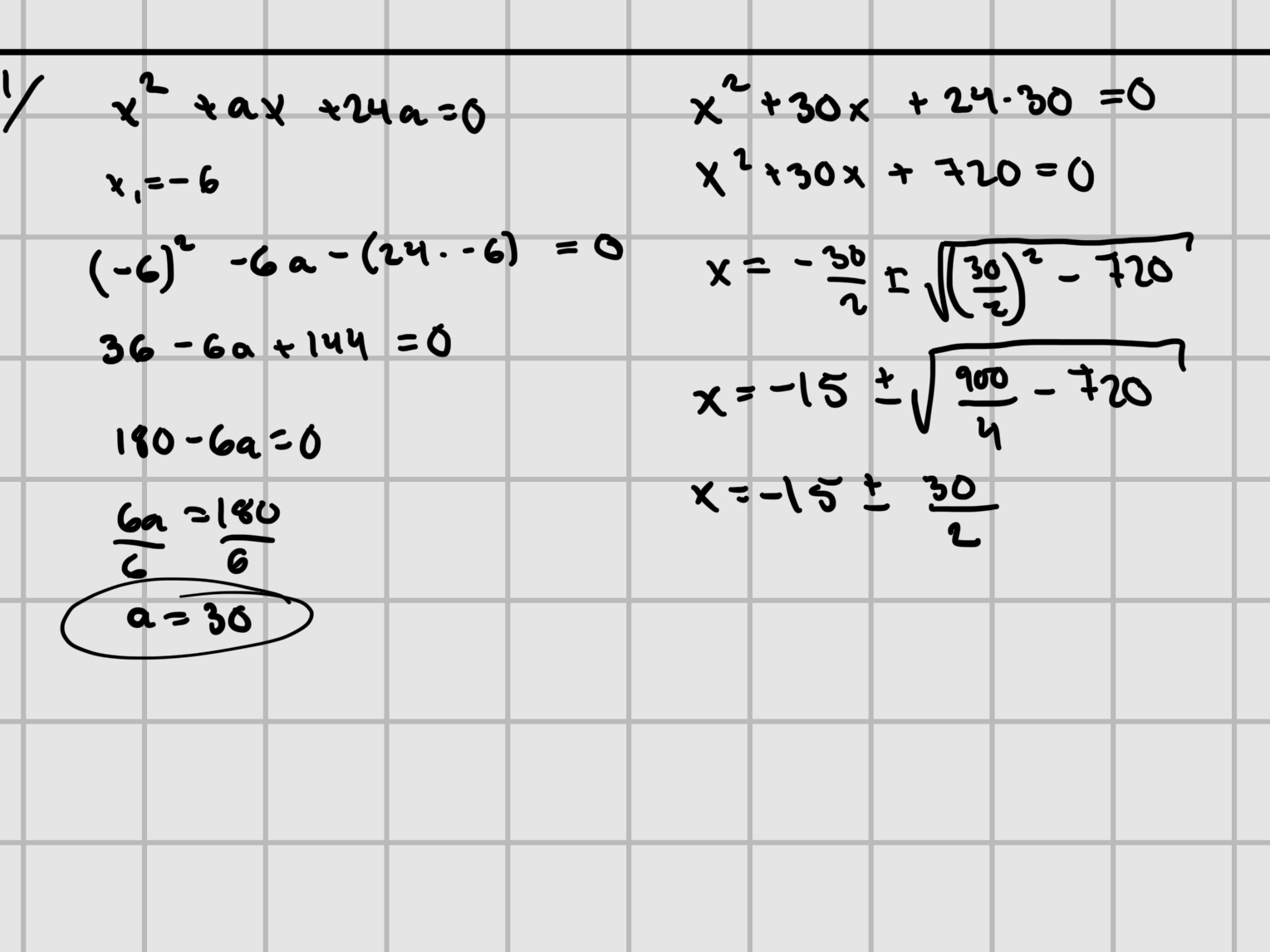
JAg har suttit med denna uppgift ett bra tag nu, men kommer aldrig fram till något svar, jag hinner alltid komma till ett steg i uträkningen när jag inser hur gel ute jag är eftersom att jag itne får jämna rötter. Felet ligger säkerligen i att jag inte får fram rätt värde på a, jag har gjort denna uppgift så många gånger nu att jag fått allt från -6 till 24 till 30 som värde för a. Alla de verkar vara fel, jag bifogar min senaste uträkning som jag insåg var helt fel ute mot slutet. 
Tack på förhand :)
Jag antar att frågan är något i stilen med:
Ekvationen har roten , vad är den andra?
Felet ligger i denna rad:
där skrivs om till (och ett extra minustecken som dyker upp framför). Det är ju som är !
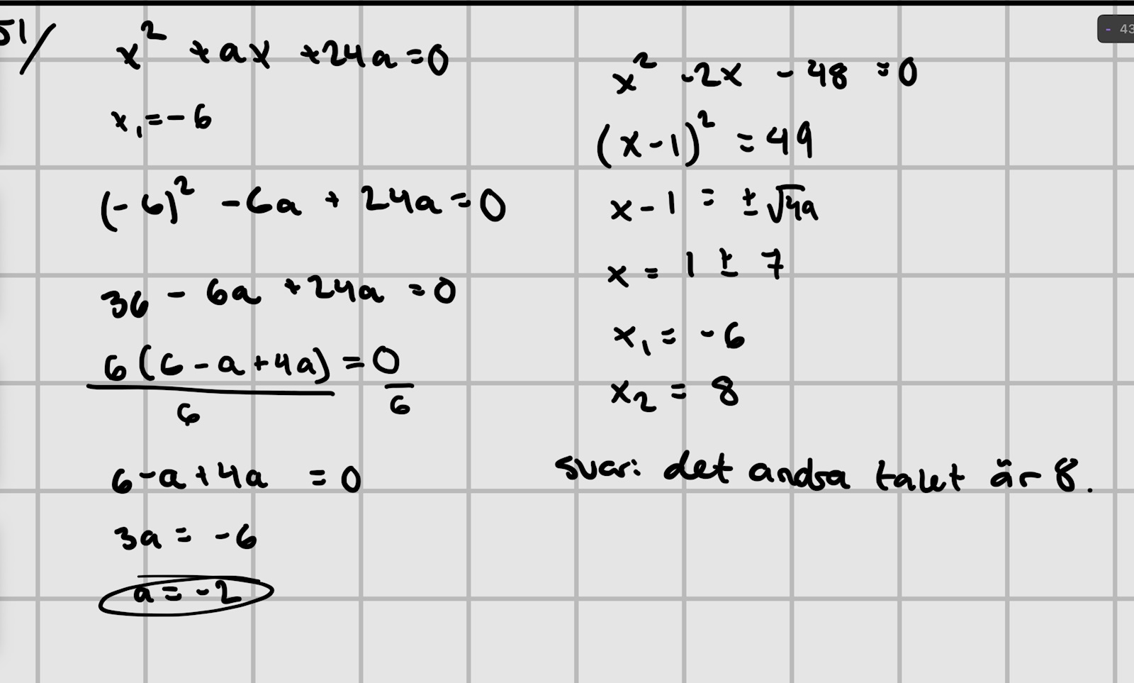
Dumt fel, jag testar en femte gång med det i åtanke och återkommer :)
Det löste sig äntligen! Tack snälla för hjälpen :)
Bra jobbat!