Vilken är positiv och vilken är negativ platta? Laddning i korsande fält
Jag har för mig att svaret ska vara undre platta negativ och övre platta positiv eftersom magnetiska kraften är nedåt (det är ju negativ laddning så omvänd strömriktning med högerhandsregel?) . Men chatgpt ger mig ett konstigt svar. GPT säger att undre platta ska vara positiv?!

Studenten06 skrev:Men chatgpt ger mig ett konstigt svar. GPT säger att undre platta ska vara positiv?!
Vet du hur chatgpt funkar?
Pieter Kuiper skrev:Studenten06 skrev:Men chatgpt ger mig ett konstigt svar. GPT säger att undre platta ska vara positiv?!
Vet du hur chatgpt funkar?
Den tar ju från olika forum, hemsidor osv
Studenten06 skrev:Pieter Kuiper skrev:Studenten06 skrev:Men chatgpt ger mig ett konstigt svar. GPT säger att undre platta ska vara positiv?!
Vet du hur chatgpt funkar?
Den tar ju från olika forum, hemsidor osv
Och säger den någonsin "jag kan inte hitta något svar", "jag kan inte svara", eller dylikt?
Pieter Kuiper skrev:Studenten06 skrev:Pieter Kuiper skrev:Studenten06 skrev:Men chatgpt ger mig ett konstigt svar. GPT säger att undre platta ska vara positiv?!
Vet du hur chatgpt funkar?
Den tar ju från olika forum, hemsidor osv
Och säger den någonsin "jag kan inte hitta något svar", "jag kan inte svara", eller dylikt?
Nej, den ger nästan alltid svar
Studenten06 skrev:Nej, den ger nästan alltid svar
Och det brukar låta självsäkert.
Så man måste tänka själv. Du har rätt att den magnetiska kraften är nedåt, det ser man när det elektriska fältet inte är på.
Vad betyder det för den elektriska kraften?
Pieter Kuiper skrev:Studenten06 skrev:Nej, den ger nästan alltid svar
Och det brukar låta självsäkert.
Så man måste tänka själv. Du har rätt att den magnetiska kraften är nedåt, det ser man när det elektriska fältet inte är på.
Vad betyder det för den elektriska kraften?
Självklart uppåt, så jag hade rätt med att undre platta är negativ. Tack.
Jag testade chatgpts förmåga att lösa integraler för några månader sedan. Det gick inte alls bra. Den säger allt med självsäkerhet och just med integraler tycker den om uttrycket "a well known result states" och sedan är det något som oftast inte är sant. Exempel:

Detta är inte alls sant även om "it is known that" kan låta pålitligt. Summan existerar inte, den är divergent.
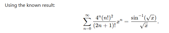
Den fick nästan detta rätt dock! 
Det stämmer inte, men funktionen är inte långt ifrån!
Sedan finns det också exempel som detta:
Additionen är självklart inte
Vidare är inte ens nära
AlexMu skrev:
Summan existerar inte, den är divergent.
Den är programmerad för att alltid ge ett svar :)
Pieter Kuiper skrev:AlexMu skrev:
Summan existerar inte, den är divergent.Den är programmerad för att alltid ge ett svar :)
Japp! Och det är ett problem om man använder LLMs för att få hjälp och man inte vet vad som är rätt och fel i svaret.
För matematik kan man nog lita på den lite mer (slutgiltiga svaren kommer förmodligen vara korrekta, kanske inte något nyttigt från härledningen) om man använder wolframGPT som är någon typ av tillägg till chatGPT. 
Men vid det laget, använd bara Wolfram Alpha eller Mathematica..