Vilken av föreningarna innehåller minst ringspänning
Hej,
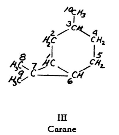
Jag vet inte riktigt hur jag ska svara på den andra frågan. Vi kan utesluta att pinan har minst ringsspänning då vi tydligt ser att vinklarna avviker från 109 grader. Vidare kan vi även utesluta bornan då vi ser att den har två ekliptiska grupper och en ''spets'' som avviker från 109 grader. Nu kommer vi till tujan och caran. Vinklarna i en cyklohexan är i regel 109 grader. I tujan bildar substituenterna en antikryssform men de gör de även i caran. Dock avviker formen från caran mer från 109 grader varför jag tror att tujan har minst ringspänning. Några tankar?

Tujan innehåller en tre-ring där vinklarna är 60 grader. Det innebär väldigt stor ringspänning.
Smaragdalena skrev:Tujan innehåller en tre-ring där vinklarna är 60 grader. Det innebär väldigt stor ringspänning.
Det gör ju även caran, men den är i och för sig utanför ringen.
Caran ha också jättestor ringspänning. Detbör alltså inte Carin eller tusan som har lägst ringspänning.
En fem-ring har vinklar som ligger hyfsat nära tetraedervinkeln. Alla ringar som är mindre än så har ganska stora ringspänningar.
Smaragdalena skrev:Caran ha också jättestor ringspänning. Detbör alltså inte Carin eller tusan som har lägst ringspänning.
En fem-ring har vinklar som ligger hyfsat nära tetraedervinkeln. Alla ringar som är mindre än så har ganska stora ringspänningar.
Anser du att 90 grader (fyrring) ligger nära tetraedervinkeln=
Nej. Den minsta ring som är hyfsat spänningslös är den med 5 hörn, som jag skrev i mitt förra inlägg.
Bornan skulle jag säga är föreningen med minst ringspänning, för även om den har tre substituenter utanför bicyklen, så blir samtliga vinklar i de båda femringarna nära på 109°. (hittade inget bättre ord på svenska, så ni får leva med svengelska velocipednamn).
Caran är den med högst ringspänning, då kolen 1,6-9 endast har en konfirmation tillgänglig (kol7 förhindrar att de samt vätena på C1,6 rör sig i förhållande till varandra). Resten av molekylen kan vicka lite (även om båtformen av cyklohexanringen nog har mindre clashes).

I tujan ser det ut att vara aningen mindre spänning, jämfört ned caran. Det finns motsvarande trering, men det finns mindre av de "låsta atomerna", så mindre clashes.
mag1 skrev:Bornan skulle jag säga är föreningen med minst ringspänning, för även om den har tre substituenter utanför bicyklen, så blir samtliga vinklar i de båda femringarna nära på 109°. (hittade inget bättre ord på svenska, så ni får leva med svengelska velocipednamn).
Caran är den med högst ringspänning, då kolen 1,6-9 endast har en konfirmation tillgänglig (kol7 förhindrar att de samt vätena på C1,6 rör sig i förhållande till varandra). Resten av molekylen kan vicka lite (även om båtformen av cyklohexanringen nog har mindre clashes).
I tujan ser det ut att vara aningen mindre spänning, jämfört ned caran. Det finns motsvarande trering, men det finns mindre av de "låsta atomerna", så mindre clashes.
Okej, men du tror inte att den låsta konformationen på carnan kan vara gynnsam då? Om den hela tiden är fast i anti-formen så garanterar man att det inte finns några ekliptiska grupper. (I och för sig så ligger gruppena ändå långt borta i från varandra så det kanske inte är särskilt aktuellt här).
Bornan har dock en spetsig vinkel och två ekliptiska grupper. Du tror inte att pinan som har 90 graders vinklar och en anti-konformation har mindre ringspänning?
Eftersom man bara frågar vilken av föreningarna som har minst ringspänning så är svaret bornan. Alla andra har tre- eller fyrringar.
Nu tror jag att jag är med på varför bornan har minst ringspänning. I det stora hela är det bara en vinkel som är spetig. I caran skapar den spetiga vinkeln en spänstighet som är ogynnsam om jag tolkar mag1 rätt. I tujan ar vi mindre av denna.
Vilken av vinklarna är det du menar är ogynnsam i bornan?
Smaragdalena skrev:Vilken av vinklarna är det du menar är ogynnsam i bornan?
Det sticker ju ut en spets mellan kol 1 och 4.
Om jag gissar rätt på vilka kolatomer som är 1 respektive 4: den "spetsen" är en del av två femringar, som har vinklar hyfsat nära tetraedervinkeln. Det är ju ingen bindning mellan 1 och 4.
Smaragdalena skrev:Om jag gissar rätt på vilka kolatomer som är 1 respektive 4: den "spetsen" är en del av två femringar, som har vinklar hyfsat nära tetraedervinkeln. Det är ju ingen bindning mellan 1 och 4.
Aha, nu ser jag!
@Blåvalen
Lite tjatigt kanske men det blir mycket lättare att visualisera detta i 3D, så mitt råd är att faktiskt (fortfarande) att skaffa en molekybyggsats, eller leta rätt på ett bra verktyg för att visualisera stereokemi i datorn. Det går så pass mycket snabbare och blir mindre fel, med liknande hjälpmedel. Roterar/translaterar du bara en aning fel i huvudet blir allt fel, så innan det sitter utan hjälpmedel underlättar de.
mag1 skrev:@Blåvalen
Lite tjatigt kanske men det blir mycket lättare att visualisera detta i 3D, så mitt råd är att faktiskt (fortfarande) att skaffa en molekybyggsats, eller leta rätt på ett bra verktyg för att visualisera stereokemi i datorn. Det går så pass mycket snabbare och blir mindre fel, med liknande hjälpmedel. Roterar/translaterar du bara en aning fel i huvudet blir allt fel, så innan det sitter utan hjälpmedel underlättar de.
Jag håller med. En molekylbyggsats är ovärderlig när det gäller organisk kemi.