Vilken deriveringssätt ska man använda här?

Hej !
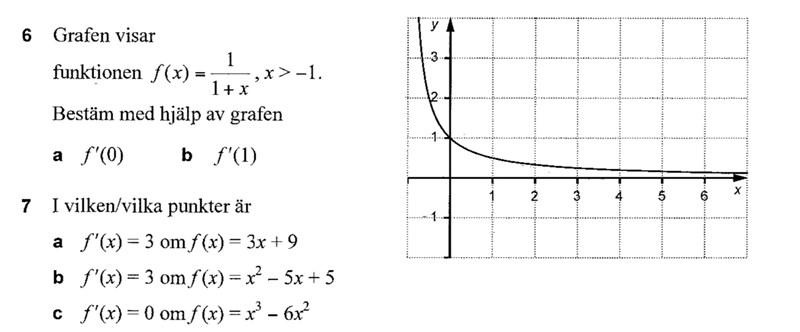
försökte göra fråga 6b med deriverings regler och differenskvoten. Och fick -0,5 som svar. Dock stämmer det inte överens med facit. Vad är det för fel har jag gjort ?
mvh
Den sista 1:an kommer från inre derivatan. Förenklar vi lite så har vi alltså
Då blir
foppa skrev:Den sista 1:an kommer från inre derivatan. Förenklar vi lite så har vi alltså
Då blir
Okej jag förstår men inte det med inre derivatan. Hur kommer det den sista ettan, jag förstår inte
Det kommer i Matte 4.
Laguna skrev:Det kommer i Matte 4.
Tack Laguna 👍
Swateie - i korthet kan man säga att när uttrycket man försöker derivera är lite inbakat och krångligt är det inte säkert att man kan ”köra på som som vanligt”. Det här är ett sånt fall, och det verkar alltså som att ni kommer till det senare!
foppa skrev:Laguna skrev:Det kommer i Matte 4.
Tack Laguna 👍
Swateie - i korthet kan man säga att när uttrycket man försöker derivera är lite inbakat och krångligt är det inte säkert att man kan ”köra på som som vanligt”. Det här är ett sånt fall, och det verkar alltså som att ni kommer till det senare!
Okej 👍 tack