Vilken differentialekvation visar grafen?

Hej, Jag behöver ha hjälp att förstå vad det är jag behöver börja med. Min gissning är att definiera grafens funktion men jag tror inte jag vet hur. (Känner att jag borde kunna vid detta laget 😞)
Ser ut att vara ett andragradspolynom. Eftersom nollställena är 1 och 5 så borde f(x) = k(x-1)(x-5). Där k är något värde som du får lista ut mha grafen.

Jag försöker ta reda på k med hjälp av punkterna från grafen men jag får inte samma k-värde. Jag förstår inte hur annars jag kan få ut k-vördet
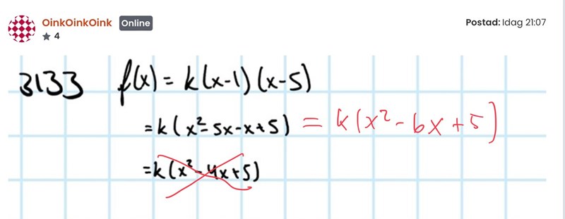
-5x-x = -6x, inte -4x.
Enklast är kanske att välja x = 0.
k(0-1)(0-5) = k(-1)(-5) = 5k. Enligt figuren så skall detta bli 5, så vi får att k = 1.

I facit står det såhär och jag har ju redan fått detta svar, jag förstår dock inte varför k värdet blir 1, jag trodde att k skulle stämma för alla punkter men jag får fel för det: 
Oj nu ändrade jag inte formeln när jag satte in y och x-värdena men det blir k=1 och k= -0,09
Eller vänta ska jag ta reda på k värdet i noll punkterna??
Du har fortfarande samma felaktiga formel, därför blir det fel!
OinkOinkOink skrev:Oj nu ändrade jag inte formeln när jag satte in y och x-värdena men det blir k=1 och k= -0,09
Eller vänta ska jag ta reda på k värdet i noll punkterna??
Använd rätt formel.
