Vilken formel - Vågrörelselära
Hej, jag vet inte om detta är rätt underkategori men sitter med följande uppgift och undrar verkligen var denna formel, eller kombination av formler i facit kommer ifrån? Uppgift b).


Satt nämligen med ett gäng kompisar och ingen av oss förstod riktigt hur de fick ihop den.
Tacksam för hjälp!
Rita strålgången.
(Problemet verkar vara att ni börjar med att läsa facit.)
Pieter Kuiper skrev:Rita strålgången.
(Problemet verkar vara att ni börjar med att läsa facit.)
Om du kan det här så bra borde det inte vara några problem för dig att förklara det, vill du inte göra det behöver du inte svara alls. Det var väl ingen som sa att dom började med att läsa facit? Om du lägger mindre tid på att motvilligt uppfostra studenter och mer tid på att utbilda oss kanske vi lär oss något istället.
Trams.
case skrev:Pieter Kuiper skrev:Rita strålgången.
(Problemet verkar vara att ni börjar med att läsa facit.)Om du kan det här så bra borde det inte vara några problem för dig att förklara det, vill du inte göra det behöver du inte svara alls. Det var väl ingen som sa att dom började med att läsa facit? Om du lägger mindre tid på att motvilligt uppfostra studenter och mer tid på att utbilda oss kanske vi lär oss något istället.
Trams.
Alltså, ni har facit. Ni formulerar inte någon konkret fråga.
Och ni vill inte visa en ritning.
Vid en tjocklek noll reflekteras ingenting.
Om tjockleken är 203 nm är skillnaden i väglängden mellan reflektion från fram- och baksida större, alltså ett nytt minimum. Osv.
Härlig stämning.
Iallafall, vi satt i skolan och skrev på en whiteboard som vi glömde ta kort på. Vi skrev något i stil med 
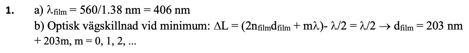
Fick trots att vi satt länge med den inte ihop det. Gjort är gjort och facit är kollat. Skulle uppskatta hjälp om du vet hur man får fram formeln som står i facit. Vill du lägga till en bild får du jättegärna göra detta, men jag minns inte hur våran såg ut :)