2
svar
271
visningar
Vilken frekvens har elektromagnetisk strålning med våglängden 1 km
Vilken frekvens har elektromagnetisk strålning med våglängden 1 km
Min lösning:
omvandlar 1km till m= 1000m
ljusethastighet är 3 *10^8
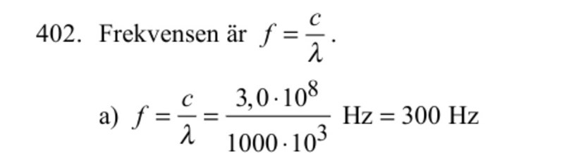
Bokens lösning
Varför skriver de 1000*10^3?
Vilken bok är det?
Våglängder på 1000 meter har använts för radioutsändningar. Frekvensen är då 300 kHz.
https://sv.wikipedia.org/wiki/L%C3%A5ngv%C3%A5g
Pieter Kuiper skrev:Vilken bok är det?
Våglängder på 1000 meter har använts för radioutsändningar. Frekvensen är då 300 kHz.
https://sv.wikipedia.org/wiki/L%C3%A5ngv%C3%A5g
Impuls 2 fysik 2
så boken har fel här.