Utveckling av VL, HL eller båda i induktionsbevis?
Hej, jag har sett på flera olika uppgifter att bokens facit väljer att skriva om VL till HL direkt men ibland väljer de att utveckla båda två och ibland utvecklar de från HL direkt till VL. Hur ska jag veta vilken metod jag ska använda? Ska jag utveckla VL till HL eller HL till VL eller utveckla båda två? Fungerar alla metoder eller måste man välja en baserat på uppgiften?
Uppgiften:
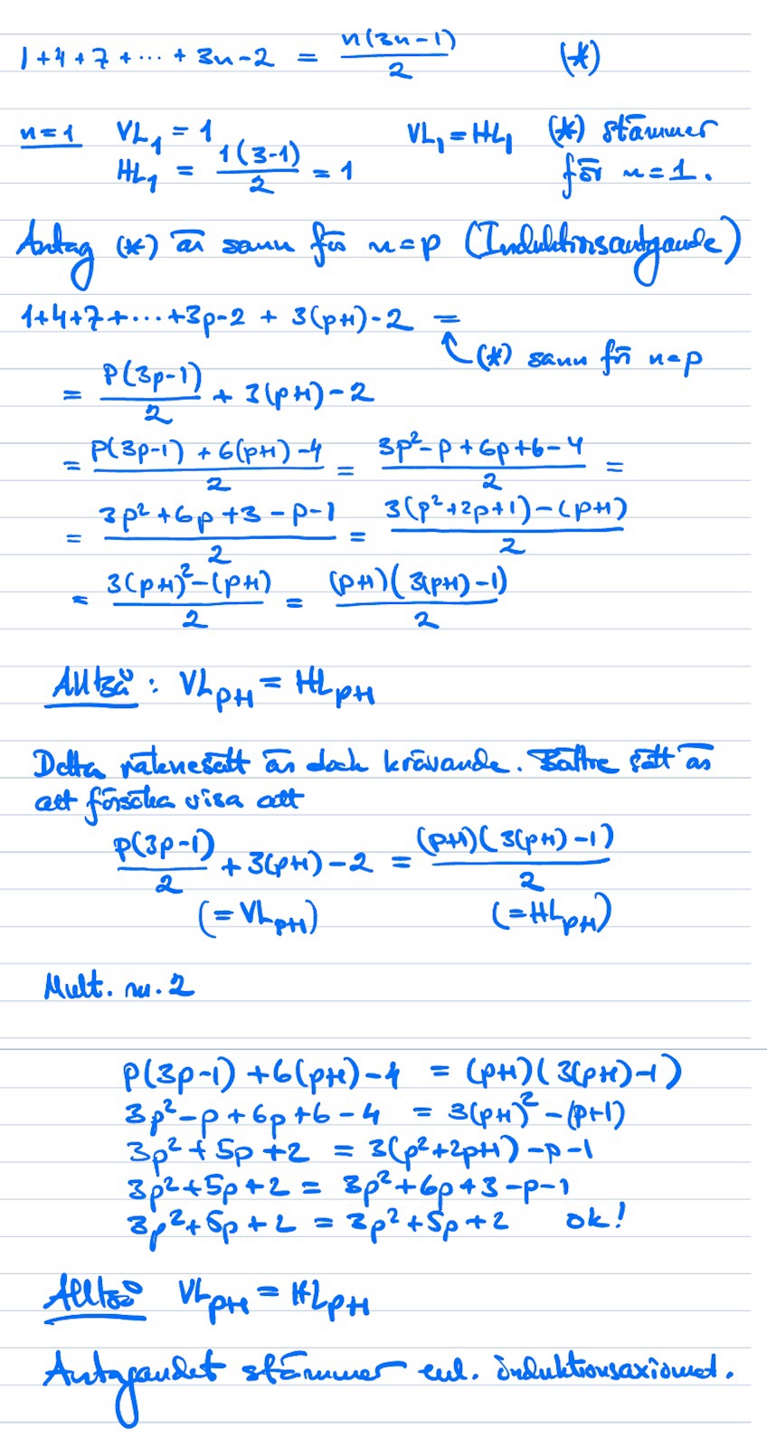
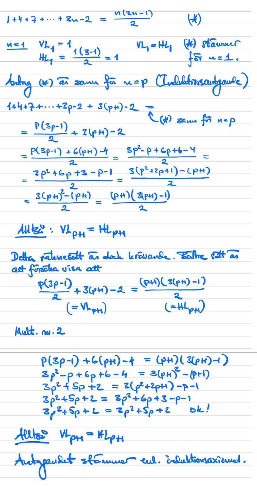
Visa att formeln 1+4+7+...+3n-2 =
gäller för alla n = 1, 2, 3...
n=1 ger VL=31 -2 = 1 och HL=
VL = HL
Antagande : 1+4+7+...+3p-2=
Påstående : 1+ 4 + 7 + 3p - 2 + 3(p+1) -2 =
+ 3 (p+1) -2
De utvecklar den vidare och sedan utvecklar de HL från påståendet. Och visar VL=HL.
Varför gör de på det sättet?
Det är ett beräkningstekniskt trick. Så här ser en ”rak” lösning ut men den kräver mycket intuition emot slutet varför man istället försöker verifiera en likhet, som sker sist nedan

Trinity2 skrev:Det är ett beräkningstekniskt trick. Så här ser en ”rak” lösning ut men den kräver mycket intuition emot slutet varför man istället försöker verifiera en likhet, som sker sist nedan
Tack.
