Vilken punkt träffar....

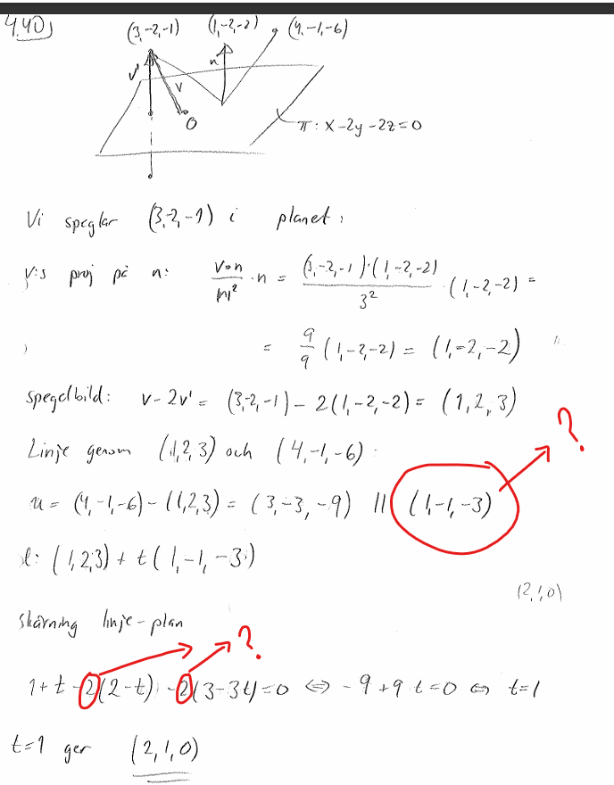
Jag har svårt att förstå metoden i en uppgift. Det är just den här uppgiften jag ska lösa, men även när jag tittar på lösningen förstår jag den inte helt. Jag förstår verkligen inte hur man har fått fram de värden jag har markerat. När det gäller koordinaten (1, -1, -3), verkar den ha tagits fram genom att man delat (3, -3, -9) med 3. Jag tror att det har att göra med linjär beroende, om jag har förstått det rätt. Men i övrigt är jag ganska förvirrad över uppgiften.
Just det att man delar (3, -3, -9) med tre är ett onödigt steg, men den som skrev det ville väl ha mindre tal och tyckte det blev snyggare då. På raden under har man att linjen l ges av (1, 2, 3) + t(1, -1, -3) och det kunde lika gärna ha stått (1, 2, 3) + t(3, -3, -9). t kan ju anta vilket reellt värde som helst.
(3, -3, -9) || (1, -1, -3) betyder att de båda är parallella.
Hmm jag tycker att den här uppgiften är lite svår. Jag vet inte riktigt hur jag ska få fram (2,1,0).. Jag löste vidare genom att få t = 1/3 men vet ej ifall det är rätt.
Jag förstår din förklaring att man delar (3,-3,-9), men sedan har jag ringat in 2:orna. Jag undrar varifrån den kom ifrån?