2
svar
128
visningar
ytrewq behöver inte mer hjälp
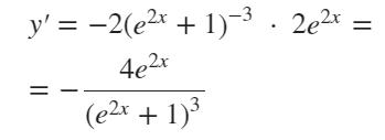
Vilken regel användes i denna förenkling?
Hej!
Jag ville fråga er vilken regel/tankesätt som användes i denna förenkling av uttrycket?

Det ser inte ut som att de allra först multiplicerar in "-2" i parentesen i ursprungsuttrycket? För då hade det stått tex "-2" i uttrycket nere i nämnaren sen i det förenklade uttrycket?
I see! Tack snälla :)