4 svar
122 visningar
Wanda 11 behöver inte mer hjälp
Wanda 11 9 – Fd. Medlem
Postad: 30 jun 2021 12:50

Vilken riktningskoefficient har den följande grafen?

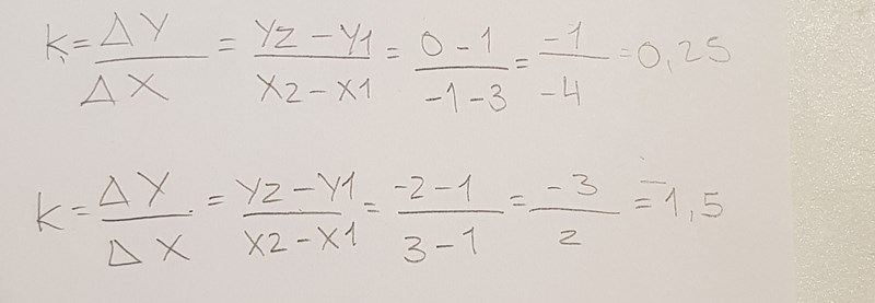
(Hej, jag har försökt lösa denna uppgiften dock har jag fått två olika svar men ingen av dem stämmer. )

joculator 5201 – F.d. Moderator
Postad: 30 jun 2021 12:54

Visa dina försök så är det lättare att se vad som blivit fel.

Wanda 11 9 – Fd. Medlem
Postad: 30 jun 2021 12:58

I facit så står det att svaret borde bli 2 (alltså k=2)

joculator 5201 – F.d. Moderator
Postad: 30 jun 2021 13:03 Redigerad: 30 jun 2021 13:05

vi tittar på x2-x1 med x2=-1 och x1=-3

x2-x1=-1-(-3)=-1+3=2

Det gör att du får k=-1/2    vilket stämmer bra med figuren. En linje som lutar nedåt, när x ökar med 1 minskar y med 1/2.


Om facit skriver att k=2 har de fel. Det hade varit en linje som lutar uppåt.

 

Edit: Samma sak med ditt andra försök.    Kontrollera att du förstår hur det fungerar när man subtraherar med ett negativt tal.   

Wanda 11 9 – Fd. Medlem
Postad: 30 jun 2021 13:09
joculator skrev:

vi tittar på x2-x1 med x2=-1 och x1=-3

x2-x1=-1-(-3)=-1+3=2

Det gör att du får k=-1/2    vilket stämmer bra med figuren. En linje som lutar nedåt, när x ökar med 1 minskar y med 1/2.


Om facit skriver att k=2 har de fel. Det hade varit en linje som lutar uppåt.

 

Edit: Samma sak med ditt andra försök.    Kontrollera att du förstår hur det fungerar när man subtraherar med ett negativt tal.   

Tack så hemskt mycket för hjälpen! 

Svara
Close