"Vilken riktningskoefficient har den linjära funktionen"?
"Vilken riktningskoefficient har den linjära funktionen"
f (x) då f ( a upphöjt till 2) - f (3a) = -4a
Jag får de till att k = 0, är jag helt ute och cyklar?
Ja, du är ute och cyklar.
Vad innebär det att en funktion är linjär? Ledning: Räta linjens ekvation!
Ansätt f(x) som en linjär funktion.
Vad blir
Vad blir
Ställ upp ekvationen
Förenkla och lös ut relevant parameter.
Riktningskoefficienten ges av:
Visa spoiler
,
Ja, det var ju faktiskt än mer effektivt tomast80! :)
tomast80 skrev:Riktningskoefficienten ges av:
Visa spoiler
,
hmm alltså förstod uträkningen och så men är a och x samma sak? haha för frågan var väl om lutningen alltså vad x är & du fick svaret att a är inte lika med 3
och
får inte vara för då får du sambandet:
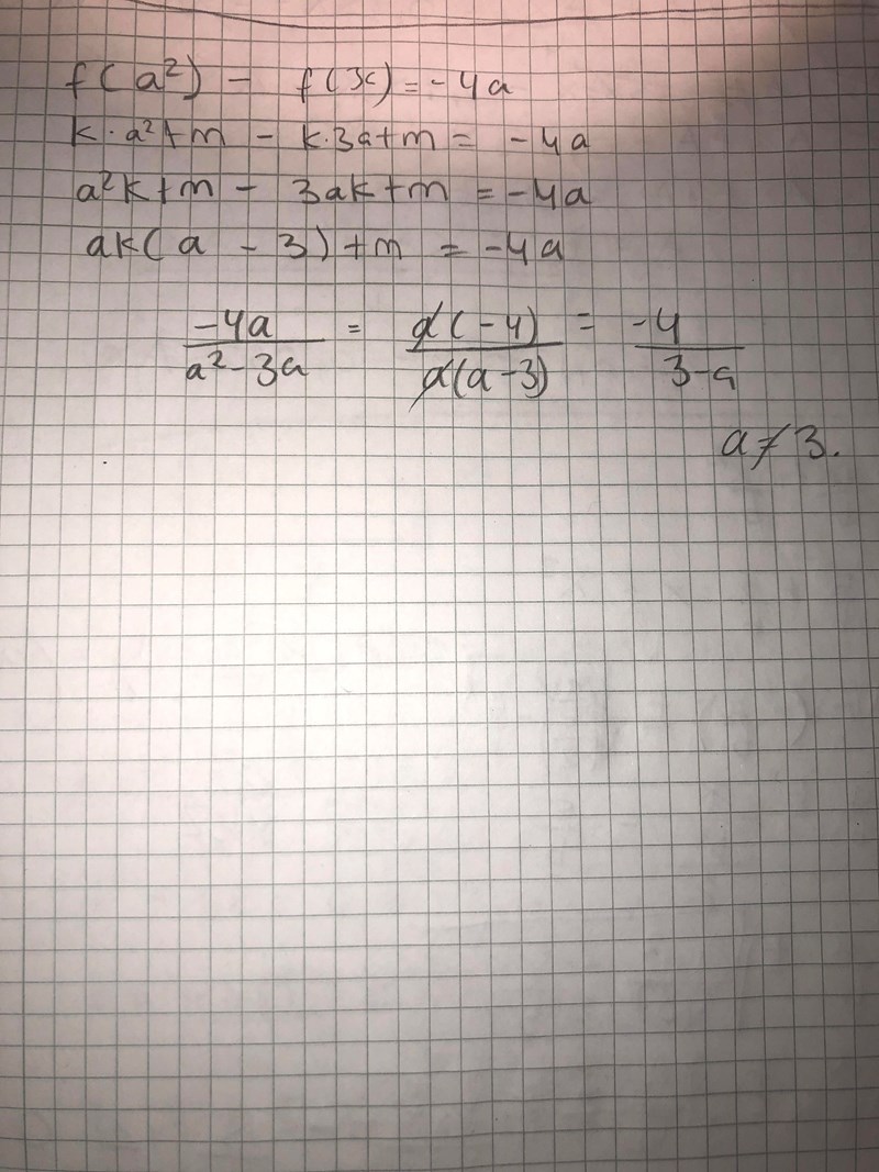
Är frågan att man ska hitta a värdet som gör att man får ett k värde? För så här ser min uträkning:

Jag tror att du har tänkt rätt, men du slarvar i din redovisning tycker jag.
När du tar bort parentesen runt får du . Därför försvinner m:en .
Tänk också på att precis i slutet, därför blir det +4 kvar när du byter ordning i parentesen.
4/(3-a.) Om a=3 då finns inget k värde