6
svar
394
visningar
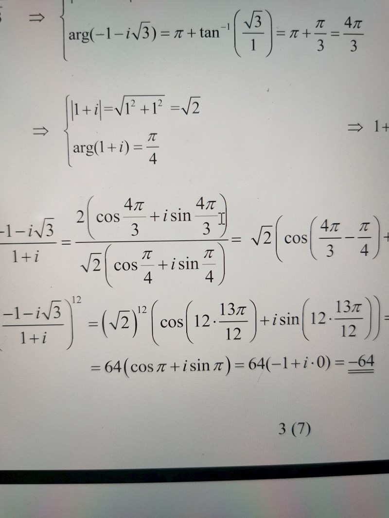
Vilken tecken är det mellan 2 och roten ur 2? vet att det är minus mellan vinklarna

Förstår inte riktigt din fråga.
Hur kommer man fram till att 2/ roten ur 2 = roten ur två?
Det var inget det löste sig tack ändå.
Mohamad03 skrev:Hur kommer man fram till att 2/ roten ur 2 = roten ur två?
Ifall någon annan undrar i framtiden (och Mohamad03 inte skrev sin lösning):
Förläng med
Tack.
