1
svar
131
visningar
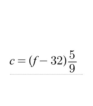
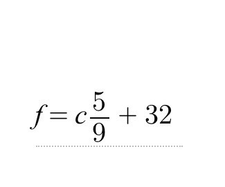
Vilken temperatur möts Celcius och Fahrenheit

ska man typ göra så här




Visa spoiler

Kanske hellre C = F, men du tänker rätt
Du får 9C/5 = C–32
9C/5 – 5C/5 = –32
4C/5 = –32
C = –32*5/4
C = –40