Vilken triangel har störst area…
Halloj!
nu är det en till fråga jag inte har någon aning om hur jag ska lösa, fast denna gången har jag verkligen inte en susning.
det enda jag kan tänka på är att dessa trianglar antagligen inte är rätvinkliga så då vet jag inte riktigt hur jag ska lösa den.
kanske ska man rita upp alla 5 trianglar och dra en höjd. Då får man 2 rätvinkliga trianglar och kan räkna ut höjden och sedan arean på de olika trianglarna. Eller ska man bara genom att titta på tabellen veta vilken triangel som har störst area? Det kommer ju ta upp väldigt mkt plats att rita 5 trianglar med dessa mått, om man inte ritar upp slarviga skisser och bara skriver in måtten. 
hur tycker ni jag ska göra? Känns dessutom som att metoden jag föreslog är VÄLDIGT lång med massa steg, så det borde finnas en annan lösning tänker jag.
Intressant uppgift!
Spontant tänker jag att ett sätt att lösa är ju att sätta ihop två trianglar till en parallelltrapets. Då är ju arean lätt att beräkna, samt dividera med två.

Tillägg: 19 mar 2025 21:07
Kanske är det inte en bra idé förresten? Glöm det, tror jag.
Nytt uppslag: En triangel som är rätvinklig har störst area, eftersom höjden maximeras. Du kan se om någon av dessa är det via pythagoras. Det känns mer som årskurs 9.
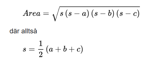
Sedan finns Herons formel, som ger svar direkt, men den är snårig och definitivt överkurs för högstadiet. Som kuriosa är den dock intressant.
Nytt uppslag: En triangel som är rätvinklig har störst area, eftersom höjden maximeras. Du kan se om någon av dessa är det via pythagoras. Det känns mer som årskurs 9.
Jo men detta kan jag ju testa! jag återkommer när jag kommit fram till ett svar :)
Bara en liten fråga, hur vet man att höjden maximeras i en rätvinklig triangel? Låter rimligt men förstår itne hur det funkar
KlmJan skrev:Nytt uppslag: En triangel som är rätvinklig har störst area, eftersom höjden maximeras. Du kan se om någon av dessa är det via pythagoras. Det känns mer som årskurs 9.
Jo men detta kan jag ju testa! jag återkommer när jag kommit fram till ett svar :)
Bara en liten fråga, hur vet man att höjden maximeras i en rätvinklig triangel? Låter rimligt men förstår itne hur det funkar
Tänkte nog du skulle fråga, så jag ritade lite:
Vid vinkeln 90 grader är h=5. Vid vinkeln 180 grader är triangeln bara ett streck och h=0. Vid andra vinklar kommer vi in på trigonometri och börjar prata om sinus och cosinus. Det är nog gymnasiet och alls inte nödvändigt nu.
Ja för då hamnar ju inte femman på en lutning! Det vart ju inte alls klurigt!
Jahopp, det var B som var en rätvinklig triangel och därav hade störst area :) 52+122=132 (169=169)
Man tackar för hjälpen, återigen :)
KlmJan skrev:Jahopp, det var B som var en rätvinklig triangel och därav hade störst area :) 52+122=132 (169=169)
Tjusigt! Herons formel kan du ha i bakhuvudet, att den finns och att du givet vilken triangel som helst kan räkna ut arean om du har dess sidor. Lär dig inte den, men du kan veta att den finns.

oki, tusen tack!