Vilken våglängd uppmäter en observatör på jorden att ljuset har?
Ett rymdskepp färdas rakt bort från jorden med hastigheten v=0.6 c. Det sänder ut ljus med våglängden λ=640 nm mot jorden.
Vilken våglängd uppmäter en observatör på jorden att ljuset har? Avrunda svaret till hela nanometer.
Jag tänker att man ska använda formeln
.... Skulle behöva hjälp, för jag vet int eom det är rätt?
så med andra ord, stämmer detta då
$$640=\frac{\sqrt{1-\frac{0.6 c}{c}}}{1+\frac{0.6 c}{c})}}$$

https://www.wolframalpha.com/input/?i=640%3Dsqrt%7B%281-0.6c%2Fc%29%2F%281%2B0.6c%2Fc%29%7D
men va?
Din formel kan inte vara rätt. Enheterna stämmer inte i ekvationen.
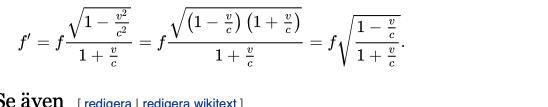
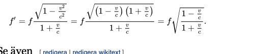
Kolla istället formeln längst ner i länken
https://sv.wikipedia.org/wiki/Dopplereffekt
I ditt fall rör sig källan radiellt från mottagaren
Här får du hur frekvensen ändras p g a Dopplereffekten och därmed våglängden.
När du sedan räknar och sätter in v=0,6c, förkorta bort c direkt eftersom den c finns i både täljare och nämnare.
PeterG skrev:Din formel kan inte vara rätt. Enheterna stämmer inte i ekvationen.
Kolla istället formeln längst ner i länken
https://sv.wikipedia.org/wiki/Dopplereffekt
I ditt fall rör sig källan radiellt från mottagaren
Här får du hur frekvensen ändras p g a Dopplereffekten och därmed våglängden.
När du sedan räknar och sätter in v=0,6c, förkorta bort c direkt eftersom den c finns i både täljare och nämnare.

kan det tänka sig vara denna då?
yes
PeterG skrev:yes
Där skulle vara mitt lambda?
Om du vet kan du beräkna f, men de är inte samma sak. är våglängden, f är fekvensen.
Smaragdalena skrev:Om du vet kan du beräkna f, men de är inte samma sak. är våglängden, f är fekvensen.
Okej, men om jag vill substituera in den i denna formel:

Var ska jag då substituera in ?
Ja det går bra, eller först räkna ut frekvensen och sedan våglängden via deras samband.
Du känner till sambandet mellan dem?
våglängden = ljushastigheten/frekvens
PeterG skrev:Ja det går bra, eller först räkna ut frekvensen och sedan våglängden via deras samband.
men grejen är att jag vet inte vad jag ska göra med den ekvationen, eftersom jag har två obekanta och .
Du har bara en obekant. Du kan räkna ut f eftersom du vet .
Smaragdalena skrev:Du har bara en obekant. Du kan räkna ut f eftersom du vet .
eller hur?
sannakarlsson1337 skrev:eller hur?
Nej, 0.6c är hastigheten hos rymdskeppet. Vilken hastighet har ljuset? Dessutom har du nu dimensionen:
Vilken dimension har frekvens?
Ebola skrev:sannakarlsson1337 skrev:eller hur?
Nej, 0.6c är hastigheten hos rymdskeppet. Vilken hastighet har ljuset? Dessutom har du nu dimensionen:
Vilken dimension har frekvens?
någonting?
så det du skrev borde bli (antar att det är L/(L/T) så
frekvensen är Herz? (hertz? HZ?)
sannakarlsson1337 skrev:någonting?
Ja, precis, nuförtiden definieras metern utifrån att ljusets hastighet är identiskt lika med 299 792 458 m/s.
så det du skrev borde bli (antar att det är L/(L/T) så
Japp!
frekvensen är Herz? (hertz? HZ?)
Japp. Vilken dimension har hertz? Tid, Massa, Längd?
Ebola skrev:sannakarlsson1337 skrev:någonting?
Ja, precis, nuförtiden definieras metern utifrån att ljusets hastighet är identiskt lika med 299 792 458 m/s.
så det du skrev borde bli (antar att det är L/(L/T) så
Japp!
frekvensen är Herz? (hertz? HZ?)
Japp. Vilken dimension har hertz? Tid, Massa, Längd?
Men det är ju en våg, kan det ha en vikt/massa? och längden e väl beroende på frekvensen? och tid.. mh
sannakarlsson1337 skrev:Men det är ju en våg, kan det ha en vikt/massa? och längden e väl beroende på frekvensen? och tid.. mh
Frekvens är samma sak som antal perioder per tidsenhet och har därför dimensionen 1/tid och SI-enheten 1/sekund.
Du delade våglängden med en hastighet vilket har fel dimension då resultatet hade dimensionen tid. Frekvensen beräknas från:
Du kan göra dimensionsanalys eller enhetsanalys på ovan och se att det är korrekt.
Ebola skrev:sannakarlsson1337 skrev:Men det är ju en våg, kan det ha en vikt/massa? och längden e väl beroende på frekvensen? och tid.. mh
Frekvens är samma sak som antal perioder per tidsenhet och har därför dimensionen 1/tid och SI-enheten 1/sekund.
Du delade våglängden med en hastighet vilket har fel dimension då resultatet hade dimensionen tid. Frekvensen beräknas från:
Du kan göra dimensionsanalys eller enhetsanalys på ovan och se att det är korrekt.
Men så rätt svar för denna uppg blir bara så simpelt som
? Men sedan omvandla det till nanometer (
sannakarlsson1337 skrev:Men så rätt svar för denna uppg blir bara så simpelt som
? Men sedan omvandla det till nanometer (
Du får nog gå tillbaka till början.
Du ska beräkna våglängden som uppfattas av observatören genom speciell relativitetsteori. Detta gör du genom att omvandla den faktiska våglängden till frekvens genom:
Sedan använder du relativitet:
Du kan direkt använda sambandet mellan våglängd och frekvens och stoppa in i ovan formel för att få:
Ebola skrev:sannakarlsson1337 skrev:Men så rätt svar för denna uppg blir bara så simpelt som
? Men sedan omvandla det till nanometer (Du får nog gå tillbaka till början.
Du ska beräkna våglängden som uppfattas av observatören genom speciell relativitetsteori. Detta gör du genom att omvandla den faktiska våglängden till frekvens genom:
Sedan använder du relativitet:
Du kan direkt använda sambandet mellan våglängd och frekvens och stoppa in i ovan formel för att få:
Hmmm okej, så endast så? alltså de sistnämnda ekvationen?
Ja så blir det.