Vilken vinkel ska det vara för att träffa
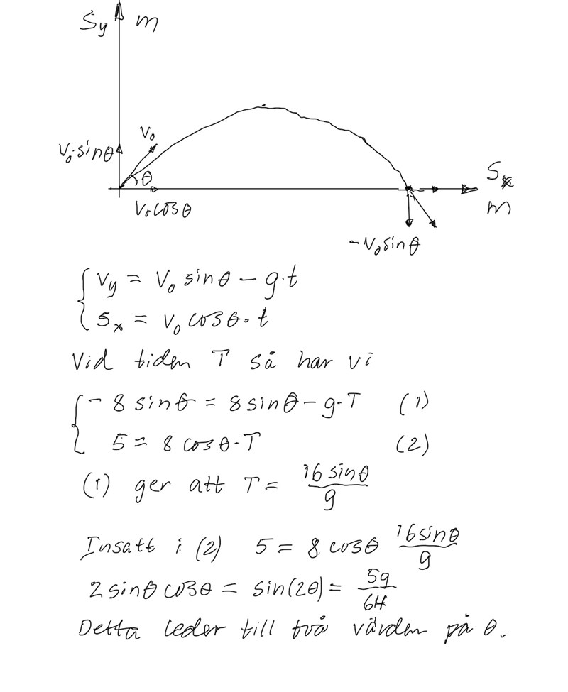
''En pojke leker med en trädgårdsslang och håller den alldeles nere vid markytan. Vattnet sprutar ut med hastigheten 8.0 m/s. Han riktar slangen snett uppåt för att kunna spruta vatten på sin syster som ligger och solar i gräset 5,0 m bort. I vilken vinkel ska han rikta slangen? Det finns två svar. Förklara varför.
1. jag har tänkt, men jag känner att det saknar lite info. Eftersom syster ligger ner och pojken står upp så vet jag inte hur långt ner i y led det behöver gå innan den träffar syrran.
2. Och om v0 är 8m/s när den är pekat rakt ner, kommer v0 också vara 8m/s om den är även snett riktad uppåt?
1. Du får anta något rimligt, typ 1,0 m.
2. Ja, vi får anta det, och det är nog så också.
Matteärsvår skrev:
1. jag har tänkt, men jag känner att det saknar lite info. Eftersom syster ligger ner och pojken står upp så vet jag inte hur långt ner i y led det behöver gå innan den träffar syrran.
Nej, det står i uppgiften att han håller slangen alldeles vid markytan.
Jag skulle räkna med att vattenstrålen både börjar och träffar vid y=0, alltså inte som i bilden. Det står ”markytan” i bilden.
Sedan lär vattnets fart vara ungefär densamma oavsett slangens riktning. Något annat ges inte av uppgiften och det blir på tok för svårt annars.
Jag tittade bara på bilden och läste inte texten. Mycket dumt med en sådan bild.
