2
svar
62
visningar
maratikmatorkin behöver inte mer hjälp
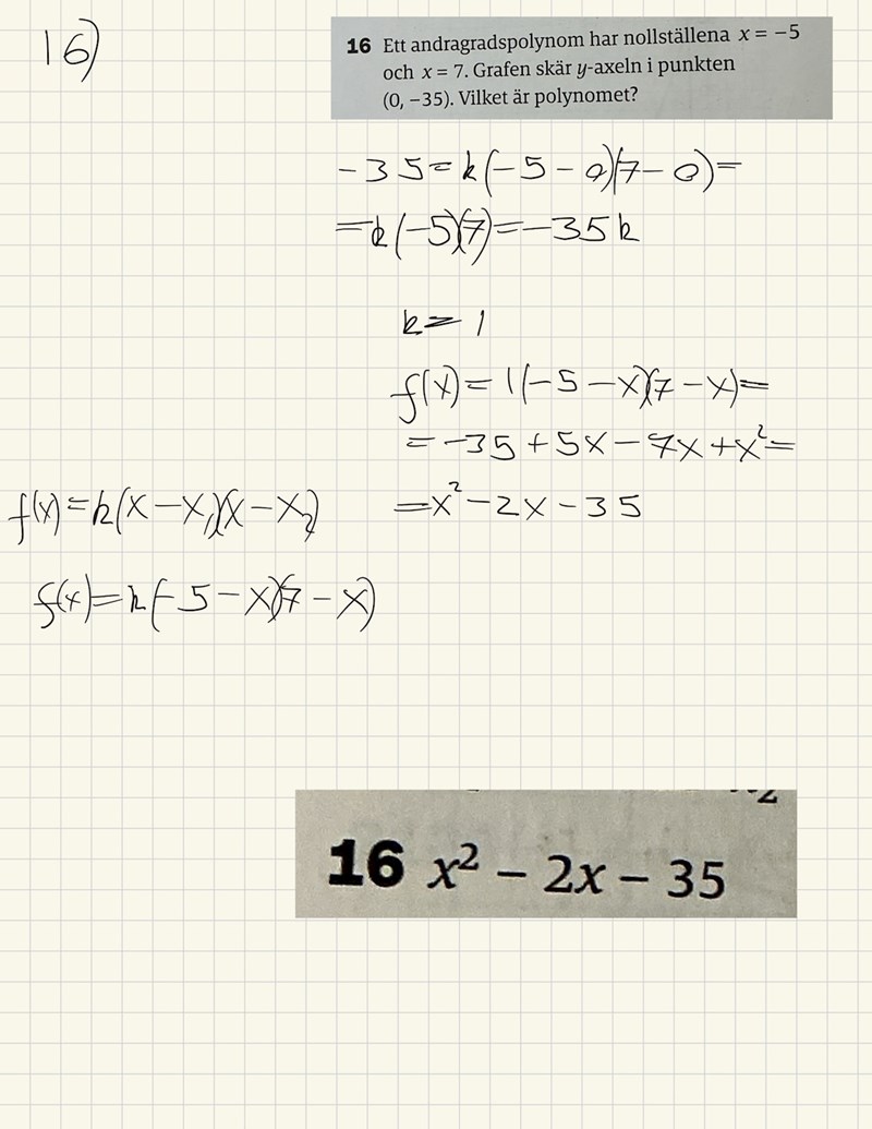
Vilket är polynomet?
Hej.
vad gör jag för fel? Måste varit ett halvår sedan jag höll på med polynom i faktorform.
mvh
Om du har faktoriseringen k(5-x)(7-x), som du ställt upp, är x = -5 verkligen ett nollställe?
thedifference skrev:Om du har faktoriseringen k(5-x)(7-x), som du ställt upp, är x = -5 verkligen ett nollställe?
Got it!
